При растяжении стержня происходит увеличение его длины и уменьшение поперечных размеров (рис. 2.4).
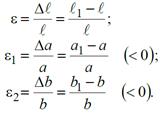
Деформация абсолютная (абсолютное удлинение) – Δ ℓ = ℓ1 – ℓ.
Деформация относительная (продольная деформация) – ε = Δ ℓ / ℓ.


Рисунок 2.4. Изменение размеров стержня при его растяжении
Коэффициент поперечной деформации (коэффициент Пуассона) – абсолютная величина отношения поперечной относительной деформации к продольной (упругая постоянная материала):
Þ
.
У всех существующих материалов значения коэффициента Пуассона находятся в пределах от 0 до 0,5. Конструкционные стали имеют μ = 0,25 ÷ 0,3. Значение коэффициента Пуассона, близкое к 0,5, свидетельствует о несжимаемости материала, т. е. независимости его объема от действующих нагрузок.






