| Рис.1.10. Процесс функционирования РЭУ: t1, t2, t3 — интервалы безотказной работыРЭУ; ф1, ф2, ф3 —интервалы по устранению отказов |
Предположим, что РЭУ эксплуатируется в течение определенного календарного периода. Возникающие при эксплуатации отказы устраняются, и изделие снова используется по назначению. Этот процесс продолжается до окончания рассматриваемого календарного периода. Изобразим процессы функционирования и устранения отказов РЭУ на временной оси (рис.1.10).
Тогда под наработкой на отказ понимают величину, определяемую как
(1.16)
где т — число отказов РЭУ, возникших за рассмотренный календарный период, или, что то же самое, число периодов безотказной работы.
Показатель То имеет смысл только применительно к восстанавливаемым устройствам. Его называют средней наработкой на отказ, что понятно из выражения (1.16).
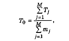
Если поток отказов РЭУ данного типа стационарный, то наработку на отказ То можно определить по нескольким экземплярам, используя формулу
(1.17)
где М — количество экземпляров;
Tj — суммарное время безотказной работы j-го экземпляра;
тj — количество отказов j-го экземпляра.
Заметим, что в случае экспоненциального распределения времени безотказной работы условие стационарности потока отказов РЭУ, как правило, выполняется.






