Эксплуатационные коэффициенты надежности относятся к комплексным показателям надежности, т.е. показателям, характеризующим несколько свойств, составляющих надежность РЭУ.
Под коэффициентом готовности КГ понимают вероятность того, что РЭУ окажется в работоспособном состоянии в произвольный момент времени, кроме планируемых периодов, в течение которых применение РЭУ по назначению не предусматривается.
Количественно коэффициент готовности можно подсчитать по формуле
(1.24)
где ti — время безотказной работы между (i - 1) и i-м отказом (см. рис.10);
фi — время восстановления г-го отказа (см. рис.10);
т — количество отказов за рассматриваемый период.
Разделив числитель и знаменатель приведенной формулы на т и воспользовавшись формулами (1.16) и (1.22), получим
(1.25)
Физически коэффициент КГ показывает средний процент РЭУ данного вида, находящихся в работоспособном состоянии в любой момент времени.
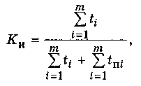
Под коэффициентом технического использования КИ понимают отношение математического ожидания суммарного времени пребывания объекта в работоспособном состоянии за некоторый период эксплуатации к математическому ожиданию суммарного времени пребывания РЭУ в работоспособном состоянии и простоев, обусловленных техническим обслуживанием и ремонтом за этот же период.
|
|
|
Количественно коэффициент КТИ может быть подсчитан по формуле
(1.26)
где tПi — время вынужденного простоя после i-го отказа.
В суммарное время вынужденного простоя в общем случае включается время на обнаружение и устранение отказов, регулировку и настройку РЭУ, время простоя из-за отсутствия запасных элементов и время на проведение профилактических работ.
Физически коэффициент КИ характеризует долю времени нахождения РЭУ в работоспособном состоянии относительно общей продолжительности эксплуатации.
Коэффициент простоя КП характеризует расход времени на различные непроизводительные затраты и определяется как отношение суммарного времени вынужденных простоев к общему времени безотказной работы и вынужденных простоев за этот же период эксплуатации:
(1.27)
В общем случае в суммарное время простоя входят все непроизводственные затраты времени, исключая время хранения и нахождения в резерве.
Можно показать, что между коэффициентами КИ и КП имеет место связь

Если в качестве суммарных непроизводственных затрат взять только время на восстановление РЭУ после отказов, то получим коэффициент, характеризующий степень необходимости ремонта. Можно показать, что этот коэффициент КР связан с коэффициентом готовности КГ выражением







