Вероятность безотказной работы определяется в предположении, что в начальный момент времени (момент начала исчисления наработки) изделие находится в работоспособном состоянии.
Под вероятностью безотказной работы изделия за время t3 понимают вероятность вида
(1.5)
где Т — случайное время безотказной работы изделия (время до отказа).
Запись " Вер " здесь и далее означает "вероятность".
Причем здесь и далее слова "за время t3 " означают интервал времени от 0 до t3 включительно.
Безотказная работа изделия и его отказ — события противоположные, составляющие полную группу событий. Поэтому для вероятности отказа изделия за произвольное время t можно записать:
(1.6)
С другой стороны, вероятность отказа можно представить как
(1.7)
Рассматривая выражение (1.7) с учетом определений, вводимых в теории вероятностей, можно придти к выводу, что
(1.8)
где F(t) — функция распределения (интегральный закон) времени
до отказа. Графики, функций Р(t) и q(t) приведены на рис.1.6.

| Рис.1.6. Графики функций Р(t) и q(t) |
Зависимость вероятности безотказной работы от времени называют функцией надежности. Эта функция имеет три очевидные свойства:
|
|
|
1. Р(t = 0) = 1, т.е. предполагается, что в момент времени t = 0 изделие работоспособно.
2. Р(t = ∞) = 0. Это означает, что при длительной эксплуатации изделие обязательно откажет.
3. Р(t) — не возрастающая функция. В противном случае мы не нашли бы физического объяснения этому явлению.
Если известна функция плотности распределения времени безотказной работы щ(t), то вероятность безотказной работы изделия за время t3 может быть определена как
(1.9)
а вероятность отказа за время t3
(1.10)
Геометрическая интерпретация выражений (1.9) и (1.10) показана на рис.1.7.
|
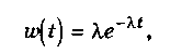
В случае экспоненциального распределения времени безотказной работы, т.е. когда
| Рис.1.7. К определению вероятности безотказной работы и вероятности отказа |
с использованием выражения (1.9) можно получить
(1.11)
Этой формулой широко пользуются в инженерных расчетах. Она также известна под названием "экспоненциальный закон надежности".
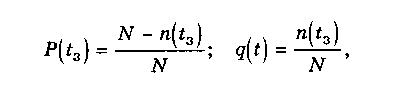
По результатам испытаний вероятность безотказной работы за время t3 и вероятность отказа за время t3 можно определить по формулам
(1.12)
где N — количество испытываемых изделий;
n(t3) — количество изделий, отказавших за время t3.
Предполагается, что в начальный момент времени все N изделий работоспособны.
Для получения достоверных оценок объем выборки N должен быть достаточно велик.