При расчете показателей надежности аппаратуры надо располагать данными о показателях надежности элементов.
Основной характеристикой надежности элементов, приводимой в справочниках (технических условиях и других нормативно-технических документах), является интенсивность отказов. Выбор этой характеристики в качестве основной объясняется следующим.
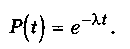
Экспериментально было установлено, что время до отказа элементов хорошо описывается экспоненциальной моделью

где л — параметр экспоненциальной модели.
Как отмечалось выше, в случае экспоненциальной модели вероятность безотказной работы за время t определяется выражением

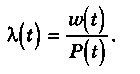
Ранее также отмечалось, что величины щ(t) Р(t) и л(t) связаны соотношением

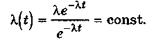
Тогда в случае экспоненциального распределения времени безотказной работы получим
(2.1)
Из выражения (2.1) видно, что при экспоненциальном распределении времени до отказа интенсивность отказов постоянна и численно равна параметру экспоненциального распределения. Поэтому интенсивность отказов и параметр экспоненциального распределения обозначены одной и той же буквой — л. Таким образом, стало возможным в справочниках задать надежность элементов одним числом — значением интенсивности отказов.
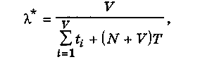
Интенсивность отказов элементов определяют обычно опытным путем для номинального электрического режима работы элементов при нормальных условиях эксплуатации (лабораторных условиях). При этом в инженерной практике часто пользуются планом испытаний типа [N, V, Т]. Этот план означает, что испытывается N элементов, фиксируются отказы V, а испытания проводятся в течение времени Т. Оценку интенсивности отказов даютв этом случае с помощью формулы
(2.2)
где ti — время до отказа i-го элемента из числа отказавших;
V — количество отказавших элементов.
Чтобы не совершить большую ошибку при оценке л*, значение V должно быть не менее 5-10.
Знаменатель формулы (2.2), примерно равный N • Т, называют количеством отработанных приборо-часов (элементо-часов).
Нетрудно установить, что для того, чтобы подтвердить экспериментально значение л = 10-6 1/ч, значение величины N • Т должно быть равным 107.
Предположим, что N = 1000, тогда Т = 10000 ч, что составляет более года. Поэтому на практике используют ускоренные (обычно форсированные) испытания, позволяющие получить ту же информацию о надежности, но за более короткий срок. В настоящее время ускорение испытаний может достигать 50... 100 и даже более единиц.
В настоящее время для высоконадежных видов элементов при определении значений величины л используют расчет и прогнозирование, принимая при этом во внимание структурную сложность нового типа элемента и данные из опыта эксплуатации аналогичных элементов.
Интенсивность отказов современных элементов занимает примерно диапазон 10-10...10-5 1/ч (прил.).
Размерность интенсивности отказов [л] = 1/ч = ч-1.
За рубежом в качестве размерности величины А. используют также процент на 1000 ч работы, что равносильно введению множителя 105.