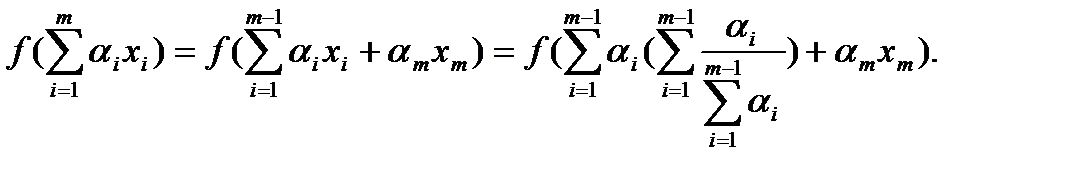
При m = 2 (2) следует из О.1. Пусть (2) справедливо
. Пусть
.
Тогда
Пусть
. Тогда
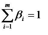
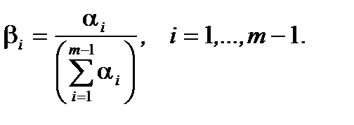
,
и
.
Теорема 2.
, где
выпукло, является выпуклой ó
определенная формулой
, является выпуклой.
При m = 2 (2) следует из О.1. Пусть (2) справедливо
. Пусть
.
Тогда
Пусть
. Тогда
,
и
.
Теорема 2.
, где
выпукло, является выпуклой ó
определенная формулой
, является выпуклой.
|
|