Опр. 1: Множества
отделимы, если существует вектор
, что
(1) строго отделимы, если
и сильно отделимы, если в (1) знак неравенства строгий.
Замечание: Геометрический смысл О.1 в существовании гиперплоскости, что А и В лежат в разных полупространствах по отношению к ней. Гиперплоскость отделяющая (строго, сильно).
Теорема 1: Пусть
непустые, выпуклые и
=
. Тогда существует гиперплоскость
, отделяющая
и
. Если
и
, то 
Доказательство: Пусть
.
выпукло (Т.2, П.2.1).
.
, что
(Т.3, П.2.3). Тогда
(2)
Пусть
.
Из (2)
, и при
(3) что означает выполнение (1). Пусть
. Тогда из
и (3) следует, что
, а из
и (3) следует, что
ч.т.д.
Теорема 2. Пусть A,B
; A,B
,выпуклые замкнутые, одно из них ограничено и A
B=
. Тогда A и B строго отделимы. Если они оба ограничены, то отделимость будет сильной.
Пусть заданы матрица B размерности s
n и вектор
, причем
.
Теорема 3 (Фаркаша). Неравенство <y,x>
выполняется
,если
, что
.
Доказательство:
Необходимость. Пусть
<y,x>
. Докажем, что
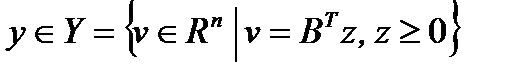
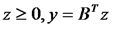
. Пусть
Y- замкнуто и выпукло (замкнутость следует из непрерывности линейных функций). По Т.2
, что
|
|
|
(4)
. Из (4) =>
,
и
. Но 
Значит
и
(5)
Т.к.
, то
(6)
Положив
из (5) и (6) получаем противоречие условиям теорем.
Достаточность. Пусть
. Тогда
. ч.т.д.






