Необходимость. f – выпуклая на D. 
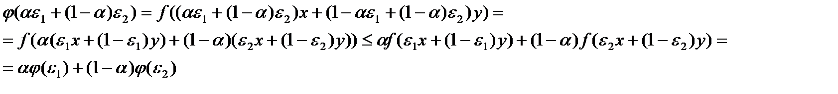
Достаточность. Пусть
пары точек из D и
- выпуклая => 

Теорема 3. Пусть
,
выпукла на D. Тогда она непрерывна в 
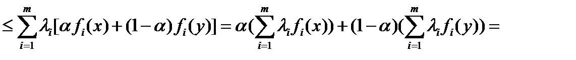
Теорема 4: Если
выпуклые на
то
выпуклая.
Доказательство:

Теорема 5: Если
выпуклая на
то
выпукла.
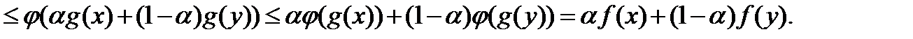
Доказательство:


Замечание:
выпукла, если g(x) выпукла.
Теорема 6: Если
неубывающая и выпукла, а
выпукла на
то
выпукла.
Доказательство:








