Необходимость
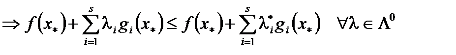
- седловая точка, тогда из (1) следует 1). Перепишем в (1) левое неравенство
и тогда
(2). Покажем, что
. Построим вектор
если 
если
.
. Подставляя
в (2), получаем
.
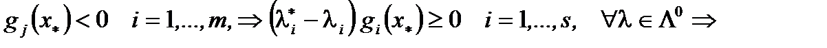
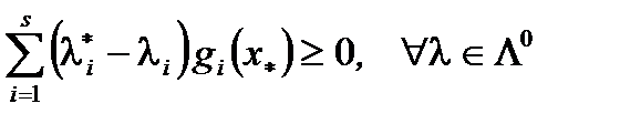
Условие 2) для
доказано; докажем его для
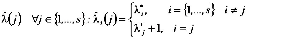
.Построим вектор
полагая
. Из (2)
учитывая
следует выполнение 2) для
.
Достаточность.Пусть для
выполняются 1) и 2). Правое неравенство в (1) выполняется. Покажем выполнение левого. Из
а из 2)
если
Суммируя неравенства, переходим к требуемому неравенству.
Замечание. Т.к. в фиксированной точке
на оптимальные свойства целевой функции
в некоторой окрестности точки
влияют лишь те ограничения, для которых выполняется условие
, то вводится понятие активного ограничения в
активно в
, если
.
Теорема 2. Пусть пара
есть седловая точка для функции Лагранжа в задаче ВП, тогда
.






