Необходимость. Пусть выполнено (1). Покажем, что
пара
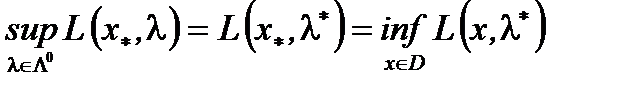
является седловой для функции Лагранжа имеем
(2)
Т.к.
из (2) следует
(3). Последнее равенство означает, что
.Таким образом, пара
- седловая точка и множество
принадлежит множеству точек функции Лагранжа.
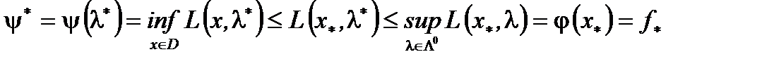
Достаточность. Пусть
- седловая точка функции Лагранжа. Тогда
(4). Аналогично, из неравенства
(5). Из (3) и (5) с учетом Т.1 получаем
.
Тогда
.
Отсюда выводим, что множество седловых точек функции Лагранжа принадлежит множеству
.
Теоремы 1 и 2 в совокупности образуют теорему двойственности.
Замечание. Если задача линейного программирования имеет решение, то для нее существует седловая точка функции Лагранжа. Тогда по Т.2 двойственная задача имеет решение и значения целевых функций этих точек совпадают.






