Из (Т.1)
(3)
(3) верно и для
. Тогда
и из (3) следует
.
11. Теорема Куна-Таккера.
Дополнительные условия, сформулированные Куном-Таккером в различных по постановкам теоремам являются обобщением принципа Лагранжа. Рассмотрим случай
задачи ВП. Тогда
. (1)
Опр. 1. Множество (1) называется регулярным (выполнение условия Слейтера), если
такая, что
.
Замечание. Для выполнения условия Слейтера достаточно потребовать:
что
. Тогда из выпуклости
, а из выпуклости
.
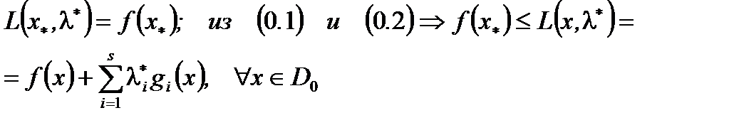
Теорема 1 (Куна-Таккера). Пусть в задаче ВП
, выполнено условие регулярности и
. Тогда
вектор
такой, что
является седловой точкой функции Лагранжа для этой задачи.






