Опр.1 Отображение некоторого множества в множество действительных чисел называется функционалом, определенным на этом множестве.
Замечание Функционал – обобщение понятия функции.
Обозначают:
- функционал;
- область определения;
- значение функционала на элементе
.
Опр.2 Функционал
достигает
на
, если
. Обозначают:
. Вариационное исчисление изучает общие методы решения экстремальных задач, связанных с функционалами, определенными на множестве функций.
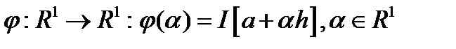
Определим
(линейное пространство над полем действительных чисел) функцию
.
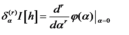
Опр.3 Если
дифференцируема
раз (
) в точке
, то говорят, что функционал
дифференцируем
раз в точке
вдоль направления
, а производную
называют
вариацией функционала
в
вдоль
и обозначают
. Если
дифференцируем
раз в
вдоль
, то говорят, что
имеет вариацию
порядка в точке
.
Если
линейное нормированное пространство, то для
можно ввести понятие локального экстремума:
Опр.4
называется точкой локального минимума функционала
, если
окрестность
точки
, что
.
|
|
|
Опр.5 Если
имеет первую вариацию в
и
, то
- стационарная точка функционала
.
Опр.6 Если
имеет вторую вариацию в
и
, то вариация функционала
положительна в
.
Теорема 1. (необходимое условие локального экстремума): Если точка
- локальный минимум функционала
, то:
1) если
имеет первую вариацию в
, то
- стационарная точка
;
2) если
имеет вторую вариацию в
, то она положительна.






