Рассмотрим
Выбором малого
можно добиться, чтобы
находился в сколь угодно малой окрестности
. Тогда (опр.4) справедливо
Если выполнено 1), то
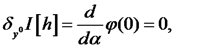
дифференцируема в
, а если выполнено 2), то
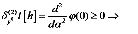
дважды дифференцируема в
(по свойствам локального минимума функции
)
т.к.
произвольно и из предыдущего соотношения следует доказательство теоремы. ч.т.д.






