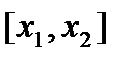
Задача 1. Пусть
- открытая внутренняя область;
(точки множества
обозначим
),
- заданная функция;
,
- фиксирование точки,
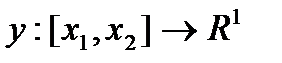
. Функцию
назовем допустимой
, если
,
,
,
. Каждой
поставим в соответствие действительное число
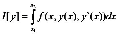
. Требуется определить min функционала I на множестве
.
Задача 1 – простейшая вариационная задача.
Замечание:
,
множество всех определённых на
функций, имеющих производные до r порядка включительно, которая допускает разрывы первого рода в конечном числе точек и имеет в них одностороннюю непрерывность.
Краткая запись задачи 1:
,
,
.
Замечание2 Если в
определить норму так:
1)
, 2)
, а расстояние
2)
и 2)
, то можно вести речь о сильном и слабом локальном минимуме.
Опр1 Локальный минимум в задаче1 сильный (слабый), если окрестность, фигурирующая в его определении задаётся с помощью расстояния нулевого (
) или (первого (
)) порядка.
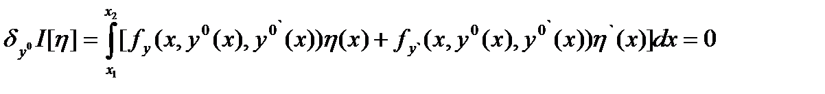
Теорема1 (необходимые условия локального минимума 1 порядка). Пусть
и
доставляет локальный минимум в задаче1. Тогда
.






