Лемма 1 (Дюбуа-Реймона) Для выполнения соотношения
(1) при некоторой функции
.
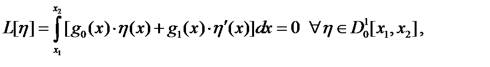
Лемма 2. Для выполнения соотношения
(2) при некоторых
- точки непрерывности функции
.
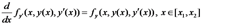
Опр.1 Функция
удовлетворяет интегро-дифференциальному уравнению Эйлера-Лагранжа, отвечающего основной функции
, если
. (3)
Теорема 1. Если
достигает на
локального (слабого) минимума и
, то
константа
, что
удовлетворяет интегро-дифференциальному уравнению Эйлера-Лагранжа.
Док-во:
Пусть
Справедливость доказываемой теоремы вытекает из (Т 1, п. 10.2) и леммы2.
Замечание. Если в (3)
, то (3) можно продифференцировать по
:
(4)
Опр.2
удовлетворяет дифференциальному уравнению Эйлера-Лагранжа (4), отвечающему
, если эта функция обращает (4) в тождество.
Теорема 2. Пусть в задаче 1
достигает на
локального (слабого) минимума и
. Тогда
удовлетворяет (4).
Теорема 2 является следствием теоремы 1.
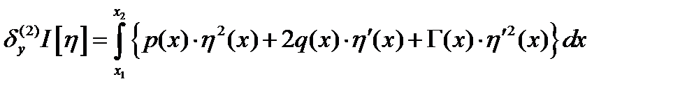
Теорема 3 (Необходимые условия локального минимума 2 порядка). Если в задаче 1
, в
существует вторая вариация функционала
, а он сам достигает в нем локального минимума, то вторая вариация функционала в
положительна на
.
|
|
|
Док-во:
Справедливость Т3 следует из (утверждения 2) Т.1 п. 10.1) и того, что
доставляет локальный минимум
. Введем обозначения: для

20. Условия Лежандра и Якоби
Опр.1
удовлетворяет условию Лежандра, если
и имеет место неравенство
. (1)
Если (1) строгое, то
удовлетворяет сильным условиям Лежандра.
Теорема 1. Если
и
достигает на
локального (слабого) минимума, то
удовлетворяет условию Лежандра.






