Пусть в простейшей вариационной задаче точки A и B находятся на кривых
(1) 
Функция y допустима, если удовлетворяет условиям допустимости в простейшей вариационной задаче, а граничные точки выбираются произвольно на кривых, определяемых (1). Минимизируемый функционал имеет нефиксированные пределы интегрирования.
Рассмотрим задачу: 
Рассмотрим сначала случай
удовлетворяет уравнению:
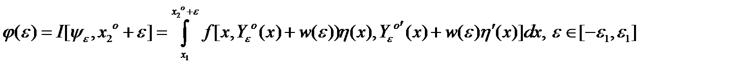
. Функционал обозначим:
- класс допустимых функций в простейшей задаче вариационного исчисления, в которой 
Теорема 1. Если
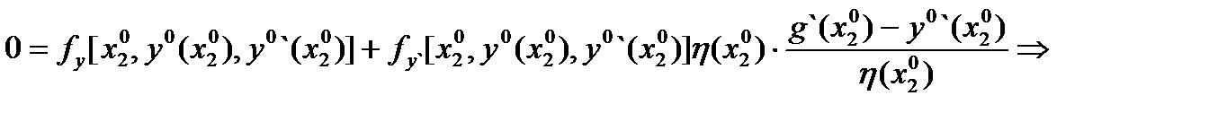
- решение задачи с подвижным правым концом, то необходимо
(2)
(3)
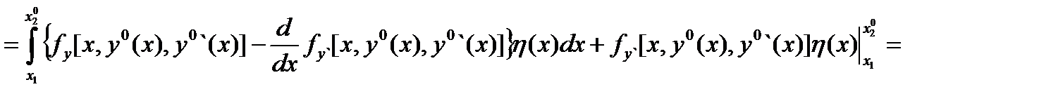
Доказательство:
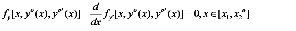
-решение простейшей задачи для
и (2) имеет место. Пусть 
Т.к.
, то
, что
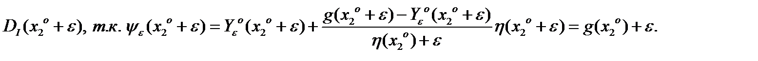
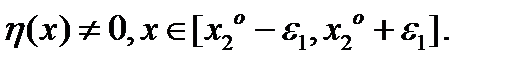
Пусть
такая, что
- непрерывно дифференцируемое расширение
на 
принадлежит 
Положим 
Т.к.
, то
в
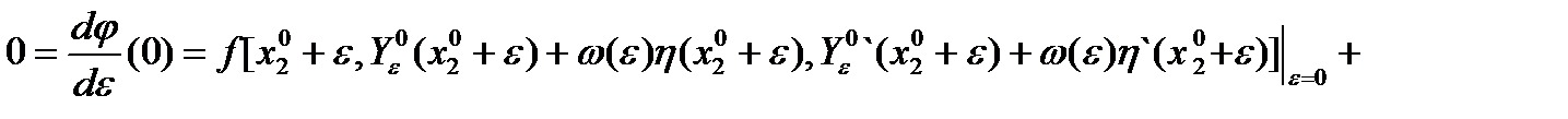
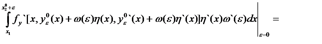
достигает локального минимума и 

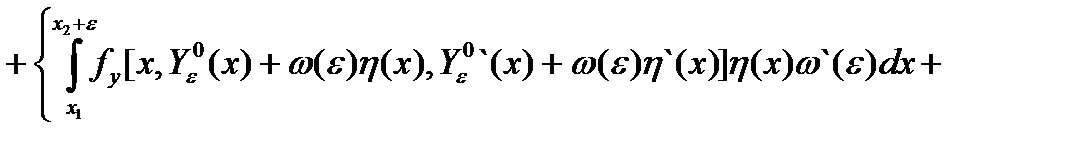
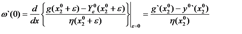
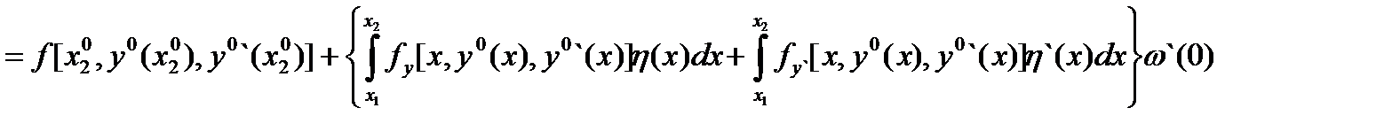
+
(4)
.
Т.к.
удовлетворяет дифференциальному уравнению Эйлера-Лагранжа, отвечающему основной функции
, то


(5)
А
(6)
Преобразуя (4) с учетом (5) и (6), получаем


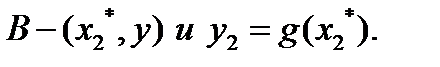
Равенство (3) называют условием трансверсальности на правом конце. Если правая кривая (граница) имеет уравнение
,
, то оно принимает вид 
Аналогично можно рассмотреть случай незакрепленного левого конца или обоих концов.






