Если в задаче с подвижными границами зависимость минимизируемого функционала явная от границ, т.е.
(1),где
- дважды непрерывно дифференцируемые функции, то вариационную задачу называют задачей Больца. Пусть в задаче Больца левый конец фиксирован, тогда учитывая результаты п.11.1 выведем условие трансверсальности на правом конце.
(2) и
(3) в силу (2) сводится к
. (4)
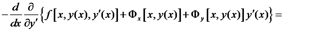
Покажем, что уравнение Эйлера-Лагранжа для (4) определяется лишь интегральным слагаемым в (3).


.
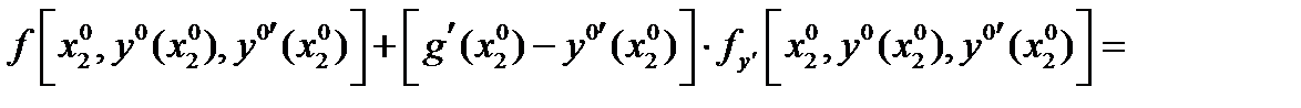
Используя ((3) п.11.1) условия трансверсальности для (4) примут вид
, откуда находим

. (5)
Если кривая правой границы
, то (5) принимает вид
. Аналогично можно рассмотреть случай незакрепленного левого конца и обоих концов.






