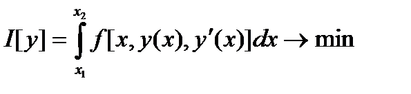
На множестве допустимых функций накладывается условие: функционал, заданный на множестве допустимых функций (как и минимизируемый) должен принимать фиксированное значение на любой допустимой функции.
Пусть
- открытое выпуклое множество,
,
,
Функцию
назовем допустимой
, если
,
,
,
,
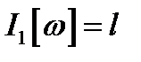
. Каждой
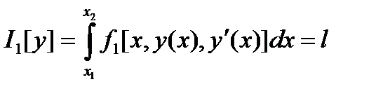
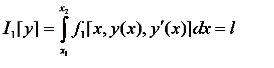
поставим в соответствие число
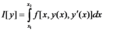
. Требуется минимизировать функционал I на
. В случае
изопериметрическая задача имеет вид:
.
,
,
.Пусть
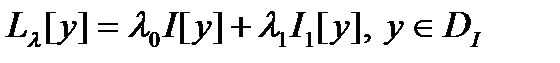
Для
рассмотрим функционал
.
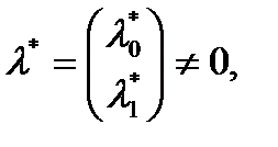
Теорема 1. Если
решение изопериметрической задачи, то найдется
что
удовлетворяет уравнению Эйлера-Лагранжа, соответствующему функционалу
, т.е.
.
Доказательство.
не стационарная функция для
(иначе
). Пусть
,
Такая
найдется, т.е.
не стационарная для
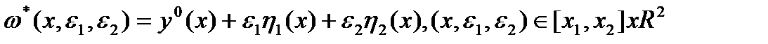
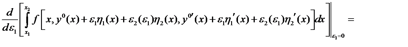
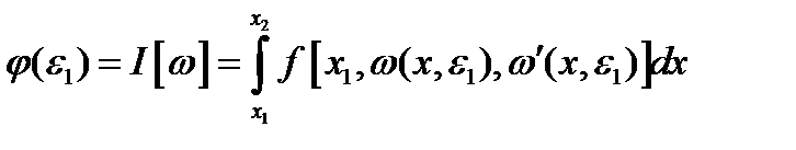
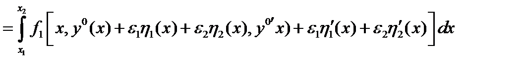
. Рассмотрим двухпараметрическое семейство функций
Причем
, i=1,2,
. Для малых по абсолютной величине
. Положим
. Видно что
, i=1,2.
и по теореме о неявной функции уравнение
определяет функцию
в окрестности точки
. При этом
.
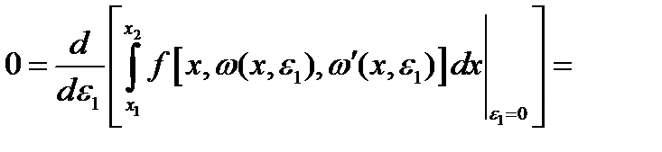
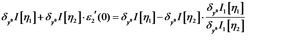
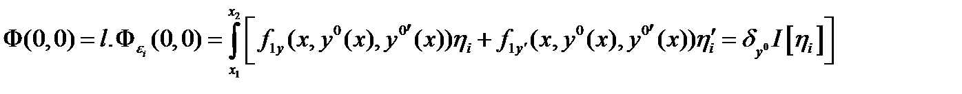
из малой окрестности О
(1) и дифференцируя обе части (1) по
получаем
(2). Откуда с учетом
получаем
(3)
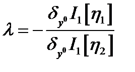
|
|
|
Рассмотрим однопараметрическое семейство функций
где
малая окрестность нуля. Из
следует
, что значит
, а
и
достигает минимума при
. Тогда
и с учетом (3) получаем 
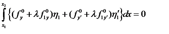
(4)
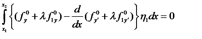
. Пусть
, тогда из (4)
, что означает
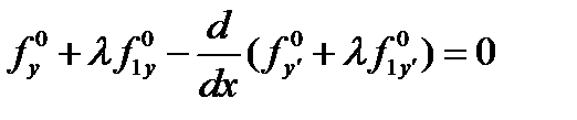
и интегрируя по частям получаем
, при
(5). Тогда из леммы Лагранжа
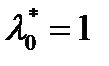
.
Замечание: интегральные кривые уравнения Эйлера-Лагранжа называют экстремалями. Экстремум может достигаться только на них. Из Т.1, если
не экстремаль для
, то можно сразу взять
.






