От противного приходим к
точки
и чисел
, таких, что
. Определим последовательность функций 

Для всех
справедливо
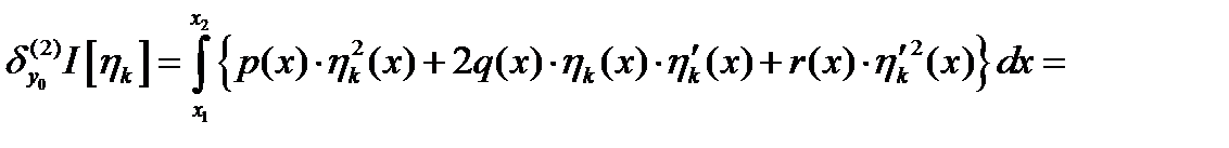
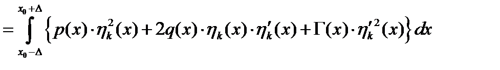
. Вторая вариация функционала в
вдоль 

(2)
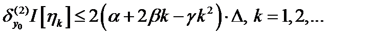
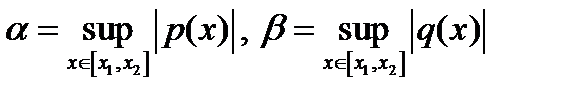
Из (2)
(3) где
и при
правая часть (3) стремится к
и для больших
что противоречит [Т.3, п.10.3]. ч.т.д.
Опр.2 Функция
удовлетворяет условию Якоби, если для нее выполнены сильное условие Лежандра и
, где
- решение дифференциального уравнения Якоби (4) с начальными условиями
. Если кроме того
, то будем говорить, что имеют место сильные условия Якоби.
Замечание. Если
удовлетворяет сильным условиям Лежандра, то уравнение Эйлера-Лагранжа, связанное с функционалом
называют дифференциальным уравнением Якоби, связанным с функционалом I и функцией у. Используя принятые выше обозначения оно имеет вид
(4)
Теорема 2. Пусть
, функция
доставляет локальный минимум (слабый) функционалу I и для нее выполняются сильные условия Лежандра. Тогда
удовлетворяет условиям Якоби.






