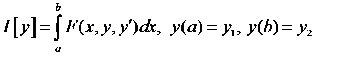
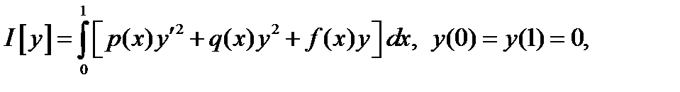
Идея метода Ритца заключается в том, что значения некоторого функционала (например:
) (1) рассматривается не на произвольных допустимых кривых вариационной задачи, а лишь на всевозможных линейных комбинациях вида
(2) с постоянными коэффициентами, где
- последовательность выбранных линейно независимых функций, причем
. Эти функции называются координатными и
должны быть допустимыми в рассматриваемой задаче, что налагает некоторые ограничения на выбор последовательности (2).
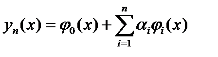
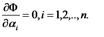
На функциях вида (2) функционал превращается в функцию от n переменных
коэффициентов
. Эти коэффициенты выбираются так, чтобы
достигала экстремума, т.е. определяются из соотношения
(3). При найденных из системы (3) значениях
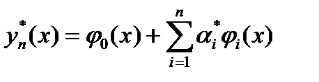
, i=1,2,..,n приближённое решение вариационной задачи запишется в виде
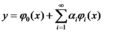
(4). Если совершить предельный переход при
, то получим в случае существования предела функцию
, являющуюся точным решением рассматриваемой вариационной задачи. Если задача решается на определения абсолютного максимума, то значения находятся с избытком, т.к. минимум функционала на любых допустимых функциях не больше, чем на части этого класса функций.
|
|
|
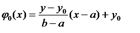
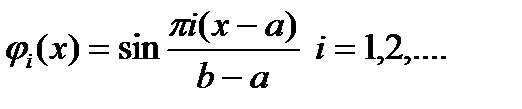
Координатные функции должны быть допустимыми, и следовательно, прежде всего удовлетворять граничным условиям (не забывая и о других, например, гладкость, непрерывность). В случае
в качестве координатных можно выбрать
, где
какие-нибудь непрерывные функции, или
, или какие-нибудь другие функции, удовлетворяющие условию
. В случае неоднородных условий в качестве
можно выбрать
, а остальные
выбираются из условий однородности, как отмечено выше. Условия сходимости последовательности
, полученной методом Ритца, к решению вариационной задачи и оценки быстроты сходимости для конкретных, часто встречающихся задач разработаны в трудах Н.М. Крылова и Н.Н. Боголюбова. Например, для функционалов
вида
где
не только доказана сходимость приближений, полученных по методу Ритца, к функции
, реализующей минимум функционала, при координатных функциях
, но и даны весьма точные оценки погрешности
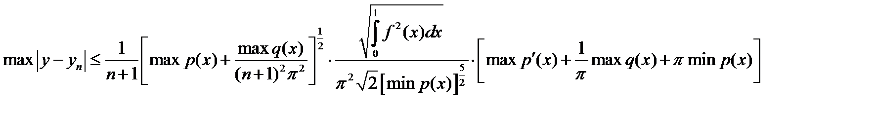
. Например, весьма удобная оценка максимума
на отрезке
:
и как видно, далее в простом случае оценка погрешности сложна. Поэтому для оценки точности результатов, полученных методом Ритца или другими прямыми методами обычно пользуются на практике следующим приемом: вычислив
и
сравнивают их между собой на отрезке
в нескольких точках. Если требуемая точность достигнута, то считают, что решение вариационной задачи равно
. Иначе вычисляют
и сравнивают с
в нескольких точках. Процесс продолжается, пока
и
не совпадут в пределах требуемой точности.
|
|
|
Замечание. Для приближенного решения вариационных задач, когда функционал зависит от нескольких переменных вместо метода Ритца обычно применяют метод Канторовича.






