Рассмотрим случай, когда условия связи в вариационных задачах имеют вид функциональной зависимости.
Пусть
- открытое выпуклое множество,
,
.
Вектор-функцию
назовем допустимой,
, если
,
(1)
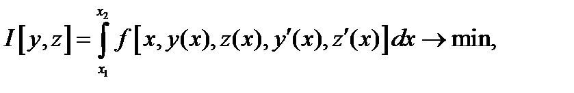
Каждой вектор-функции
поставим в соответствие число по формуле

Требуется минимизировать приведенный функционал на
. Сформулированная задача носит название задачи Лагранжа с одной голономной связью (в условии связи нет производной от допустимой функции). При
задача Лагранжа имеет вид:

При выводе необходимых условий для
, предположим, что
если

Теорема 1. Пусть
является решением задачи Лагранжа с одной голономной связью. Тогда найдется функция
что будут выполняться равенства
(2)
Если в уравнение связи входят и производные допустимых функций, то задача Лагранжа называется задачей с неголономной связью.
Опр.1 Проекцией множества А
на координаты с номерами
называется множество
.
Пусть T
- открытое выпуклое множество,
,
- текущая точка множества Q, 
Вектор-функцию
назовем допустимой, если
,
. (3)
|
|
|
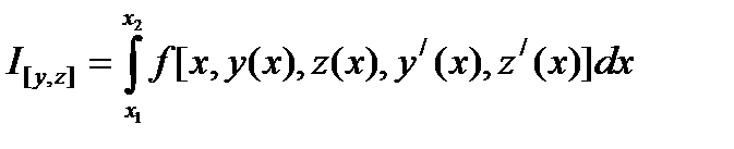
Каждой вектор-функции
поставим в соответствие действительное число по формуле
. Требуется минимизировать I на
. Это задача Лагранжа с одной неголономной связью. Для
она имеет вид:
,
,
, I=1,2, z(x
)=
. Пусть вектор – функция
, являющаяся решением задачи Лагранжа с одной неголономной связью, дополнительно удовлетворяет условиям:
если
. Введём обозначения:
,
Теорема 2 Пусть
- решение задачи Лагранжа с одной неголономной связью. Тогда найдется функция
, что






