| Профессия, | Разряд | |||||||||||||||||
| должность | ||||||||||||||||||
| Рабочие, не связанные с движением поездов | 1,0 | 1,35 | 1,82 | 1,65 | 2,00 | 2,14 | 2,35 | 2,55 | 2,80 | 3,08 | — | — | — | — | — | — | — | — |
| Рабочие, связанные с движением поездов, ремонтом подвижного состава и технических средств | 1,2 | 1,62 | 1,92 | 2,18 | 2,40 | 2,56 | 2,82 | 3,07 | 3,36 | 3,68 | — | — | — | — | — | — | — | — |
| Служащие — технические исполнители | — | 1,62 | 1,92 | 2,18 | 2,45 | 2,65 | 2,95 | 3,20 | — | — | — | — | — | — | — | — | — | — |
| Специалисты: структурных подразделений; | 2,00 | 2,27 | 2,55 | 2,76 | 3,07 | 3,33 | 3,50 | 3,82 | 4,30 | 4,87 | 5,41 | — | — | — | — | — | ||
| отделений филиалов; | — | — | — | 2,38 | 2,68 | 2,89 | 3,33 | 3,49 | 3,68 | 4,01 | 4,52 | 5,11 | 5,68 | 6,30 | — | — | — | — |
| управлений филиалов | — | — | — | 2,50 | 2,81 | 3 04 | 3 38 | 3 67 | 3,86 | 4 75 | 5,37 | 5,96 | 6,62 | — | — | — | — | |
| Руководители: структурных подразделений; | — | — | — | — | — | 3,22 | 3,57 | 3,85 | 4,06 | 4,42 | 4,99 | 5,64 | 6,26 | 6,95 | 7,71 | 8,17 | — | — |
| отделений филиалов; | — | — | — | — | — | — | 3,75 | 4,04 | 4,26 | 4,64 | 5,42 | 5,92 | 6,57 | 7,30 | 8,10 | 8,58 | 9,09 | 9,59 |
| управлений филиалов | — | — | — | — | — | — | 3,93 | 4,24 | 4,47 | 4,87 | 5,50 | 6,22 | 6,90 | 7,66 | 8,50 | 9,01 | 9,55 | 10,07 |
Таблица 2.7
План эксплуатации
| № статьи | Наименование статьи | Контингент, чел. | Расходы, руб. | |||||||
| Заработная плата | Материалы и запчасти | Топливо | Электроэнергия | Амортизация | Отчисления на соц. нужды | Прочие | Всего | |||
| 6004 (6607) 2015 | Прямые расходы, связанные с производством и реализацией по вагонному хозяйству: деповской ремонт ваго- нов — для депо; ТО грузовых вагонов на станциях — для ПТО | + + | + + | + + | + + | + + | - - | + + | + + | + + |
| Итого | + | + | + | + | + | - | + | + | + | |
| Расходы, общие для всех мест возникновения затрат и видов работ: затраты на оплату труда производственного персонала за не-проработанное время и т.д. | + | + | - | - | - | - | - | + | + | |
| Итого | + | + | + | + | + | + | + | + | + | |
| Общехозяйственные расходы: содержание персонала, не относящегося к аппарату управления и т.д. | ||||||||||
| Итого | + | + | + | - | - | - | + | + | - | |
| Всего | + | + | + | + | + | + | + | + | + |
Прямые расходы, связанные с производством
и реализацией по вагонному хозяйству
Спланируем расходы по статьям: 6004 Деповской ремонт грузовых вагонов; 6607 Деповской ремонт пассажирских вагонов; 2015 Техобслуживание грузовых вагонов на станциях.
СТАТЬЯ. .. Деповской ремонт... вагонов.
Элемент «Расходы па оплату труда».
Графа 3. Контингент рабочей силы участка (отделения, парка)... человек.
Графа 4. Фонд оплаты труда производственных рабочих согласно расчетам табл. 2.4 —... руб.
Элемент «Материальные затраты».
Графа 5. Расходы на материалы и запасные части согласно расчетам табл. 2.8 —...руб.
Таблица 2.8
Расходы на материалы и запасные части
| Наименование материалов и запасных частей | Единица измерения | Норма на один вагон (для парка — на 1 млн вагоно-км) | Количество на годовую программу (для ПТО — на годовой пробег) | Стоимость единицы, руб. | Общая стоимость, руб. |
| Итого | - | - | - | + | |
Графа 6. Расходы на топливо для отопления здания

где α — коэффициент, учитывающий вид топлива (α = 0,23);
Т отп— число часов отопительного сезона (Т отп = 3980 ч);
gот — часовой расход тепла на м3 (gот = 0,8 Вт/м3 ч);
V у— объем участка (здания ПТО и помещений обогрева), м3;
tв, tн — внутренняя и наружная температура воздуха ( tв=16 °С, tн = -16 °С);
Кэксп — эксплуатационный коэффициент (Кэксп=1,25);
Ксут — коэффициент сменности (Ксут = 0,85);
Цт — цена 1 т топлива, руб.
Графа 7. Расходы электрической энергии на горячее водоснабжение.

где f душ — расход тепла на сетку душа (f душ = 1500 Вт/чел);
n сет— количество сеток душа (n сет =
);
f ст — расход тепла на одного рабочего, пользующегося столовой (f ст = 1800 Вт/чел);
f гв — расход тепла на одного рабочего, связанный с потреблением горячей воды в течение рабочего дня (f гв =2250 Вт/чел);
Цэ — цена 1 кВт-ч электроэнергии, руб.
Графа 7. Расходы на электрическую энергию для освещения.

где S у— освещаемая площадь участка (для ПТО—площадь парка, здания ПТО и всех помещений для обогрева), м2;
Т г— годовое количество часов осветительной нагрузки (для депо Т г =2250ч,
ПТО —3350 ч);
h — часовая норма расходов электроэнергии на м2 (h = 11 Вт/м2);
К сп— коэффициент спроса (К сп = 0,8);
К экс— коэффициент, учитывающий экономию электроэнергии за счет использования естественного освещения с 1.04 по 1.10 (К экс = 0,85—0,9).
Графа 10. Прочие материальные затраты.
Расходы на воду для бытовых нужд

где a — удельный расход воды на одного рабочего (а = 65 л);
Цв — цена 1 м3 воды, руб.
Расходы на воду для обмывки деталей (узлов) для участков (где есть моечная машина):

где ∑Q,— расход воды на обмывку деталей, м3/ч (на 1 тележку—0,07 м3/ч, на 1 колесную пару — 0,025 м3/ч, на 1 т—0,12 м3/ч);
К сп— коэффициент спроса воды (К сп=0,75);
1,1—коэффициент, учитывающий утечку воды;
— цена 1 м3 воды канализации, руб.
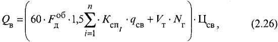
Расходы на сжатый воздух

где 60—количество минут в 1 часе;
1,5—коэффициент, учитывающий потери воздуха;
— коэффициент спроса i -м потребителем (для пневмоинструмента
= 0,2—0,4; для распылительных камер — 0,6; для стендов испытания тормозов — 0,1);
q св — количество сжатого воздуха, потребляемого единицей оборудования в минуту (для пневмоинструмента q св= 0,8—1,2; для испытательных стендов тормозного оборудования — 0,5—0,6 м3/мин);
V т— расход сжатого воздуха на полный цикл испытания автотормоза вагона (V т=1,2м3);
Nг — годовая программа ремонта вагонов в депо;
Цсв — цена 1 м3 сжатого воздуха, руб.
Элемент «Отчисления на социальные нужды».
Графа 9. Расходы по начислению единого социального налога от фонда заработной платы производственных рабочих с учетом доплат на отпуск:
в Пенсионный фонд РФ — 20 %;
на обязательное социальное страхование — 3,2 %;
на обязательное медицинское страхование (ОМС) — 2,8 %;
прочие — 5,1 %.
Расходы, общие для всех мест возникновения затрат и видов работ
СТАТЬЯ 757 Затраты на оплату труда производственного персонала за недоработанное время.
Графа 3. Контингент рабочих участка (отделения, парка) —... человек.
Графа 4. Расходы на оплату ежегодных отпусков производственного персонала спланируем в процентах от их фонда зарплаты. Процент отчислений на отпуск определим по формуле

где Т отп— количество отпускных дней в году (Т отп =28 дней для депо и ЗЗ дня для ПТО).
Графа 10. Расходы на оплату прочих невыходов на работу по уважительным причинам — 3 % от фонда зарплаты с учетом расходов на отпуск и отчислений на социальные нужды.
СТАТЬЯ 758 Скидка со стоимости форменной одежды, выданной производственному персоналу.
Графа 3. Контингент рабочих участка (отделения, парка) —... человек.
Графа 10. Расходы по форменной одежде определяются в зависимости от числа рабочих, получающих ее со скидкой:

где а — годовые расходы депо (ПТО) на одного рабочего, получающего одежду со скидкой, руб.
СТАТЬЯ 760 Отчисления в резерв на оплату вознаграждения по итогам работы за год.
Графа 3. Контингент рабочих участка (отделения, парка)—... человек.
Графа 10. Отчисления в резерв на оплату вознаграждения по итогам работы за год — 1,5 % от общего фонда оплаты труда работников участка (отделения, парка).
СТАТЬЯ 761 Охрана труда и производственная санитария.
Графа 3. Контингент производственных рабочих—... человек.
Графа 5. Расходы на мыло производственным рабочим рассчитываются исходя из норм выдачи, численности рабочих и цены мыла за 1 кг.
На одного рабочего выдается 2,4 кг мыла в год, а малярам и сварщикам дополнительно — 4,8 кг в год.
Графа 10. Прочие расходы некапитального характера, связанные с охраной труда, планируются в размере 1 % от фонда заработной платы производственных рабочих с учетом доплат на отпуск и отчислений па социальные нужды.
СТАТЬЯ 768 Обслуживание и текущий ремонт зданий, сооружений и инвентаря производственного назначения.
Графа 3. Количество младшего обслуживающего персонала (МОП) —... человек.
Графа 4. Заработная плата МОП определяется по формуле

где
— должностной оклад МОП, руб.;
— количество МОП, чел.
Графа 9. Отчисления на социальные нужды обслуживающего персонала от их заработной платы:
в Пенсионный фонд РФ — 20 %;
на обязательное социальное страхование—3,2 %;
на обязательное медицинское страхование (ОМС) — 2,8 %;
прочие — 5,1 %.
Графа 5. Расходы по содержанию помещений в чистоте планируются 200 руб. на 1 м2 площади.
Графа 5. Расходы на текущий ремонт зданий, сооружений и инвентаря от их стоимости:
для зданий — 1,5 % от СЗД, где СЗД — стоимость здания, руб.

где а — стоимость 1 м3 здания, руб.;
для инвентаря — 5 % от его стоимости

где b —стоимость инвентаря, приходящегося на одного рабочего, руб.
СТАТЬЯ 771 Амортизация основных средств производственного назначения.
Графа 8. Сумма амортизационных отчислений от стоимости зданий и оборудования.

Где Азд, =2,6% СЗД;
Аоб =12,5% Соб для ПТО;
Аоб = для депо взять из табл. 1.2, графа 9.
СТАТЬЯ 765 Содержание и эксплуатация оборудования.
Графа 5. Расходы на материалы и запчасти для ремонта оборудования принимаются в размере 4 % от его стоимости.
Графа 7. Расходы на электрическую энергию для работы оборудования:

где 1,2 — коэффициент, учитывающий потери энергии в сети;
Ксп — коэффициент спроса (Ксп = 0,35);
ΣNэ — суммарная мощность оборудования, кВт (табл. 1.2 для депо и табл. 1.1 для ПТО);
iз —коэффициент загрузки оборудования (iз = 0,7—0,75).
Общехозяйственные расходы (без расходов по содержанию аппарата управления)
СТАТЬЯ 785 Содержание персонала, не относящегося к аппарату управления.
Графа 3. Количество специалистов и служащих участка (отделения, парка) —... человек.
Графа 4. Заработная плата специалистов и служащих согласно расчетам табл. 2.9,...руб.
Графа 9. Отчисления на социальные нужды специалистов и служащих от их заработной платы:
в Пенсионный фонд РФ — 20 %;
на обязательное социальное страхование — 3,2 %;
на обязательное медицинское страхование (ОМС) — 2,8 %;
прочие — 5,1 %.
СТАТЬЯ 786 Скидка со стоимости форменной одежды, выданной персоналу производственных участков.
Графа 3. Контингент специалистов участка (отделения) и служащих парка ПТО —... человек.
Графа 10. Расходы зависят от количества работников, не относящихся к аппарату управления и получающих форменную одежду со скидкой:

где С — годовые расходы по форменной одежде для персонала производственного участка (отделения, парка).
СТАТЬЯ 787 Командировки и подъемные работников, не относящихся к аппарату управления.
Графа 3. Контингент специалистов —... человек.
Графа 10. Расходы принимаются в размере 100 руб. за 1 чел.-сут:

где 15 — среднее число дней нахождения в командировке одного специалиста в течение года.
СТАТЬЯ 792 Платежи по обязательному страхованию работников.
Графа 3. Контингент работников участка —... человек.
Графа 9. Суммы платежей (взносов) по договорам обязательного страхования, заключенным в пользу работников, занятых в производстве работ— 5,4 % фонда оплаты труда работников участка (отделения, парка ПТО).
СТАТЬЯ 793 Платежи по добровольному страхованию работников.
Графа 3. Контингент работников участка —... человек.
Графа 9. Суммы платежей (взносов) по заключенным договорам добровольного страхования от несчастных случаев и болезней, медстрахования и договорам с негосударственными пенсионными фондами — 3 % фонда оплаты труда работников участка (отделения, парка ПТО).
СТАТЬЯ 797 Изобретательство и рационализация.
Графа 3. Контингент работников участка—... человек.
Графа 10. Расходы планируются в размере 1 % от общего фонда оплаты труда работников (без МОП и служащих) участка (отделения, парка ПТО).
СТАТЬЯ 798 Подготовка кадров.
Графа 3. Контингент работников участка (отделения, парка ПТО)—... человек.
Графа 10. Расходы планируются в размере... руб. на одного обучаемого человека. Количество обучаемых — 1 % от R сп.
СТАТЬЯ 821 Прочие общехозяйственные расходы.
Графа 3. Количество служащих, специалистов и МОП —... человек.
Графа 5. Расходы на мыло общехозяйственного персонала принимаются:
0,6 кг на одного специалиста и служащего в год;
4,8 кг на одного МОП в год с учетом цены 1 кг мыла.
Графа 10. Прочие расходы по охране труда общехозяйственного персонала принимаются в размере 3 % от фонда оплаты труда с учетом отчислений на социальные нужды.
Расходы по содержанию аппарата управления
СТАТЬЯ 830 Затраты по оплате труда аппарата управления.
Графа 3. Количество руководителей —... человек.
Графа 4. Заработная плата руководителей согласно расчетам табл. 2.5, 2.9, руб.
Графа 9. Отчисления на социальные нужды от фонда зарплаты:
в Пенсионный фонд РФ — 20 %;
на обязательное социальное страхование — 3,2 %;
на обязательное медицинское страхование (ОМС)—2,8 %;
прочие — 5,1 %.
Графа 10. Расходы на форменную одежду аппарата управления:

где К —годовые расходы на форменную одежду руководителей, руб.
СТАТЬЯ 831 Командировочные расходы аппарата управления.
Графа 10. Расходы принимаются в размере 100 руб. за 1 чел.-сут. Среднее число дней нахождения в командировке для руководителей принимается — 18.
СТАТЬЯ 833 Прочие затраты по содержанию аппарата управления.
Графа 10. Расходы принимаются в размере 1,5 % от фонда зарплаты с учетом отчислений на социальные нужды.
После расчетов всех статей они складываются по элементам. Составляется калькуляция себестоимости единицы продукции (работ) (табл. 2.9).
Таблица 2.9
Калькуляция себестоимости ремонта
(технического обслуживания одного вагона в парке)
| Наименование работы | Измеритель работы | Объем работы | Расходы, руб. | Плановая себестоимость единицы, руб. | |||
| Прямые, связанные с производством и реализацией по ВХ | Общие для всех мест возникновения и видов работ | Общехозяйственные | Всего | ||||
| Для депо Деповской ремонт _______ вагонов | 1 отремонтированный | ||||||
| Для ПТО ТО грузовых вагонов на станциях | 1 вагон, обработанный в парке отправления (транзитном парке) |
1. Временные нормы на ремонт тормозного оборудования вагонов в контрольных пунктах автотормозов вагонного депо. ЦВМПС, 2003 г.
2. Дополнение к типовым нормам времени на слесарные и сварочные работы при деповском ремонте грузовых вагонов. ЦВМПС от 31.03.2004 г.
3. Нормы времени на текущий отцепочный ремонт грузовых вагонов. ЦВОАО «РЖД» от 01.03.2005 г.
4. Нормы времени на столярные и малярные работы при деповском ремонте грузовых вагонов. ЦВ ОАО «РЖД» от 29.12.2005 г.
5. Нормы времени на ремонт вагонных букс с роликовыми подшипниками с учетом автоматизации и механизации производственных процессов. ЦВ ОАО «РЖД» от 28. И.2005 г.
6. Отраслевые нормы времени на деповской ремонт вагонов с постановкой износостойких элементов по проекту М1698 ПУ БЦВ, ЦВМПС от 01.03.2005 г.
7. Типовые нормы времени на проведение неразрушающего контроля узлов и деталей вагонов. ЦВМПС от 11.09.2003 г.
8. Типовые нормы времени на сварочные работы при деповском ремонте грузовых вагонов. ЦВМПС от 27.05.1998 г.
9. Типовые нормы времени на слесарные работы при деповском ремонте грузовых вагонов с учетом применения поточно-конвейерных линий. ЦВ ОАО «РЖД» от 29.12.2005 г.
10. Типовой технологический процесс работы пунктов технического обслуживания вагонов. ТК-234 ПКБЦВ, 1996.
11. Типовой технологический процесс пункта технического обслуживания грузовых вагонов сетевого назначения. ТК-254 ПКБЦВ, 2001.
12. Типовой технологический процесс текущего отцепочного ремонта грузовых вагонов. ТК-235 ПКБЦВ, 1997.
13. Типовой технологический процесс деповского ремонта грузовых вагонов. ТК-249 ПКБЦВ, 2000.
14. Быков Б.В., Пигарев В.Е. Технология ремонта вагонов. М.: Желдориздат, 2001.
15. Мотовилов К.В. и др. Технология производства и ремонта вагонов. М.: Маршрут, 2003.
16. Стрекалина Р.П. Экономика и организация вагонного хозяйства. М.: Маршрут, 2005.
17. Устич П.А., Хаба И.И., Иванов В.А. Вагонное хозяйство. М.: Маршрут, 2003.
18. Шишков А. Д., Дмитриев В. А., Гусаков В. И. Организация, планирование и управление производством по ремонту подвижного хозяйства / Под ред. А. Д. Шишкова. М.: Транспорт, 1997.
19. Грузовые вагоны железных дорог колеи 1520 мм. Руководство по деповскому ремонту. М.: Транспорт, 1992.
20. Вагоны пассажирские цельнометаллические. Руководство по деповскому ремонту. М.: Транспорт, 1996.