Понятие выборочной функции распределения Fn(x).
Пусть таблица дискретного вариационного ряда имеет вид:

где х1 < х2 <…< хk, 1 ≤ k ≤ n, n1 - частота х1, n2 > – частота х2,…, nk > – частота хk, причем n1+n2+…+nk=n.
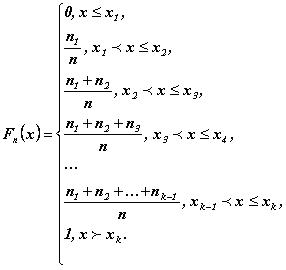
Выборочной функцией распределения Fn(x) > называется ступенчатая функция следующего вида:

Выборочная функция Fn(x) является постоянной на каждом интервале (хр, хр+1), а в каждой точке хр увеличивается на величину nр /n, р=1,2,…, k-1. Кроме того, Fn(x) – неубывающая функция, 0 ≤ Fn(x) ≤ 1, Fn(-∞) =0, Fn(+∞) =1.