1. Предел суммы (разности) двух функций, имеющих предел, равен сумме (разности) пределов этих функций:
. (4.4)
2. Предел произведения двух функций, имеющих предел, равен произведению пределов этих функций:
. (4.5)
3. Постоянный множитель можно вынести до знака предела:
. (4.6)
4. Предел константы равен константе:
. (4.7)
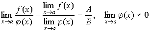
5. Предел отношения двух функций, имеющих предел, равен отношению пределов этих функций:
. (4.8)
6. Для всех основных элементарных функций в любой точке их области определения имеет место
. (4.9)
Например,
,
.
Приведем примеры на применение правил предельного перехода:
1.
;
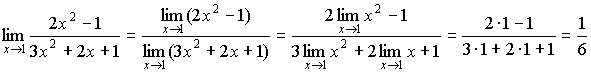
2.
;
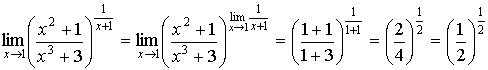
3. 






