Величина, обратная бесконечно малой величине, есть величина бесконечно большая, и наоборот, величина, обратная бесконечно большой величине, есть величина бесконечно малая.
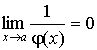
Пусть
и
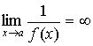
, тогда
и
.
Символически можно записать:
и 
Примеры:
1)
;
2)
;
3)
.
П р и м е ч а н и е. При вычислении пределов возможны следующие комбинации бесконечно малых и бесконечно больших величин, которые называются неопределенностями:
.