Пусть у = f(и) и u = φ(х) - тогда у = f(φ{x)) — сложная функция с промежуточным аргументом и н независимым аргументом х.
По условию
Отсюда, по теореме о связи функции, ее предела и бесконечно малой функции, имеем
или
где
.
Функция u = φ(х) имеет производную в точке х:
, поэтому
Подставив значение Δ и в равенство (20.6), получим
т.е.
Разделив полученное равенство на Δ х и перейдя к пределу при Δ х→ 0, получим
Итак, для нахождения производной сложной функции надо производную данной функции по промежуточному аргументу умножить на производную промежуточного аргумента по независимому аргументу.
Это правило остается в силе, если промежуточных аргументов несколько. Так, если у = f(u), u = φ(v), v = g{х), то
Пусть у = f(x) и х = φ(y) — взаимно обратные функции.
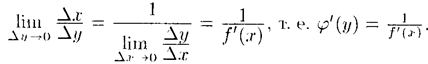
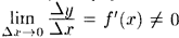
Рассмотрим обратную функцию х = φ(y). Дадим аргументу у приращение Δ у ≠ 0. Ему соответствует приращение Δ х обратной функции, причем Δ х ≠ 0 в силу строгой монотонности функции у = f(x). Поэтому можно записать
Если Δ y→ 0, то в силу непрерывности обратной функции приращение Δ х→ 0. И так как
, то из (20.7) следуют равенства 
|
|
|
Таким образом, производная обратной функции равна обратной величине производной данной функции.
Правило дифференцирования обратной функции записывают так:
Пример 1. Найти производную функции
Решение: Данная функция является сложной. Ее можно представить в виде цепочки «простых» функций:
, где
, где z = tg q, где q =.
. По правилу дифференцирования сложной функции (
)получаем:
Пример 2. Пользуясь правилом дифференцирования обратной функции, найти производную
для функции
Решение: Обратная функция
имеет производную
. Следовательно, 