Динамические свойства физической системы принято описывать не только ее импульсной характеристикой, но и некоторым линейным преобразованием над ней. Причем вид этого преобразования зависит от конкретной задачи. В случае идеальной системы пользуются преобразованием Фурье, позволяющим непосредственно описать динамические характеристики системы в частотной области.
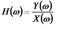
Прямое преобразование Фурье над импульсной характеристикой определяет частотную характеристику системы
,
или
. (2.7)
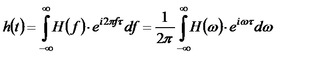
Импульсная характеристика связана с частотной через обратное преобразование Фурье
. (2.8)
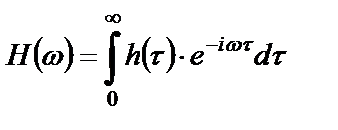
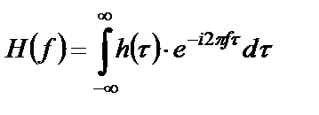
Для физически осуществимой системы выражение (2.7) принимает вид
. (2.9)
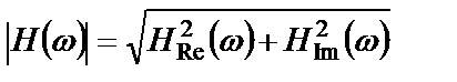
В частотной характеристике выделяют действительную и мнимую составляющие:
,
где
– действительная часть функции
;
– мнимая часть функции
.
Поскольку частотная характеристика является комплексной величиной, то ее можно представить в показательном виде
, (2.10)
где
– амплитудная частотная характеристика системы (АЧХ);
– фазовая частотная характеристика (ФЧХ).
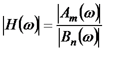
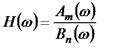
На практике АЧХ и ФЧХ можно получить простым способом, если представить частотную характеристику в виде отношения
,
где
– многочлены степеней
и
соответственно.
Тогда расчет амплитудной и фазовой составляющих функции
проводят по следующим соотношениям:
, (2.11)
. (2.12)
Амплитудная и фазовая составляющие частотной характеристики системы имеют очевидную физическую интерпретацию. Если на вход системы поступает гармонический сигнал

с амплитудой
и частотой
, то на выходе будет наблюдаться также гармонический сигнал с той же частотой
, но, в общем случае, с измененной амплитудой
и смещенный по фазе 
.
Изменения параметров выходного сигнала связаны с особенностями частотной характеристики звена.
Амплитудная частотная характеристика системы на частоте входного сигнала представляет собой отношение амплитуды установившегося выходного гармонического сигнала к амплитуде входного гармонического сигнала
,
где
– амплитуды выходного и входного сигналов соответственно.
Фазовая частотная характеристика системы на частоте входного сигнала показывает, на сколько выходной сигнал сдвинут по фазе (углу) относительно входного сигнала
.
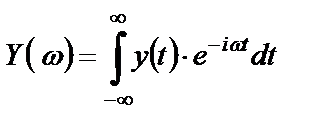
Помимо выражения (2.7), частотная характеристика системы может быть также получена и через отношение спектров выходного
и входного
сигналов:
. (2.13)
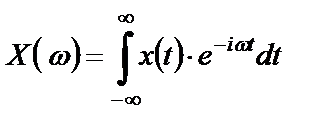
Под спектрами сигналов понимают результат прямого преобразования Фурье над самими сигналами:
,
, (2.14)
где
– сигналы во временной области.
Частотная характеристика идеальной системы, а также ее амплитудная и фазовая составляющие обладают следующими свойствами симметрии:
,
, (2.15)
.
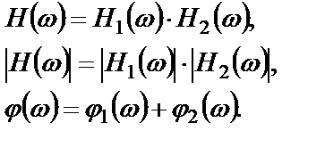
Если за системой с частной характеристикой
расположена вторая система с частотной характеристикой
и между системами не включено нагрузки и отсутствует обратная связь, то эту сложную систему можно в целом охарактеризовать частотной характеристикой
, такой, что
(2.16)
Таким образом, для каскада из двух систем при отсутствии между ними нагрузки или обратной связи амплитудные частотные характеристики перемножаются, а фазовые частотные характеристики складываются.
Частотная характеристика линейной системы с постоянными параметрами является только функцией частоты и не зависит ни от времени, ни от интенсивности входного процесса. Если же система не линейна, то ее частотная характеристика будет зависеть также и от интенсивности входного процесса. Характеристика системы с переменными параметрами является также функцией времени.
При прохождении через линейные системы спектры сигналов подвергаются преобразованиям в соответствии с комплексной частотной характеристикой системы: изменяются как амплитудный спектр сигнала, так и фазы спектральных составляющих.
При подобных преобразованиях необходимо учитывать основные теоремы о спектрах.