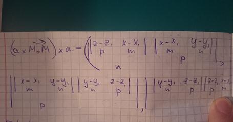
Если задано уравнение прямойl то несложно найти s = {m; n; p} - направляющий вектор прямой и M1(x1, y1, z1) - координаты точки лежащей на этой прямой. Из свойств векторного произведения известно, что модуль векторного произведения векторов равен площади параллелограмма построенного на этих векторах
S = |M0M1×s|.
С другой стороны площадь параллелограмма равна произведению его стороны на высоту проведенную к этой стороне
S = |s|d.
В нашем случае высота будет равна расстоянию от точки до плоскости d, а сторона параллелограмма равна модулю направляющего вектора s.
![]() |
Приравняв площади несложно получить формулу расстояния от точки до прямой.
![]() |
Билет №42. Линейные пространства.
![]() |
+ конспект
Билет №43. Число элементов базиса не зависит от выбора базиса.
![]() |
Теорема. В конечном пространстве число элементов базиса не зависит от базиса.
Это число называется размерностью пространства L и обозначается dim L или dimKL. Если dim L = n, пространство L называется n-мерным. В бесконечном случае мы пишем dim L = *знак бесконечности*.
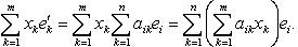
Доказательство. Пусть {e1,....,en} – некоторый базис L. Мы докажем, что никакое семейство векторов {e'1,...,e'm} с m>n не может служить базисом L по следующей причине: существует представление нулевого вектора, в котором не все xi равны нулю. Поэтому 0 не однозначно представляется в виде линейной комбинации векторов {e'i}: всегда существует тривиальное представление
Отсюда уже следует полное утверждение теоремы, поскольку этим мы проверим, что никакой базис не может содержать больше элементов, чем другой базис.
![]() | ![]() | ||
Положим. Для любых имеем
![]() |
![]() |
Поскольку {ei} образуют базис в L, нулевой вектор имеет единственное представление
![]() |
в виде линейной комбинации {ek}. Поэтому условие равносильно системе однородных линейных уравнений относительно xk:
Поскольку число неизвестных m больше числа уравнений n, эта система имеет ненулевое решение. Теорема доказана.















