К характерным чертам развивающихся рынков относят высокую инфляцию, наличие политических и общеэкономических рисков. Относительно оценки проектов эти факторы приводят к росту требуемой доходности владельцев капитала. Другой особенностью является слабое развитие контрактов и конфликты интересов различных владельцев капитала с попытками их решить не всегда цивилизованными способами. В результате к чисто финансовым ограничениям на увеличение капитала добавляются нефинансовые.
Напомним, что финансовым ограничением на принятие проекта является превышение стоимости капитала над доходностью проекта. При высокой инфляции и риске инвестирования, когда государство предлагает на рынке высокодоходные обязательства, требуемая доходность инвесторов высока, что выражается в росте стоимости капитала для компании. Не всегда удается найти варианты инвестирования в реальные активы, доходность по которым превышала бы высокую стоимость капитала.
Примером нефинансовых ограничений на размер капитала является отказ от увеличения как собственного, так и заемного капитала из-за боязни потери контроля или усиления требований открытости принимаемых решений. Характерно при этом создание вертикально интегрированных холдингов с ограничениями на решения, принимаемые руководством дочерних компаний, юридически являющихся самостоятельными. Материнская компания берет на себя функции не только контроля над денежными потоками, но и перераспределения их, ограничивая размер средств, по которым дочерняя компания может самостоятельно принимать инвестиционные решения.
Высокая инфляция может быть учтена путем корректировки денежных потоков. Традиционный метод оценки проектов предполагает прогноз денежных потоков в текущих ценах или корректировку чистых денежных потоков на задаваемую инфляционную составляющую. Чтобы отразить различия в изменении цен по затратам и доходам, более правильным будет прогноз по всем затратным статьям и по статьям денежных поступлений в будущих ценах. Следует помнить о соблюдении принципов адекватности денежных потоков и выбираемой ставки дисконтирования при расчете чистого эффекта (NPV) по проекту.
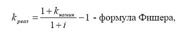
1. Если инфляционные ожидания отражаются в денежных потоках, то в качестве ставки дисконтирования выбирается значение номинальной процентной ставки. Если рассматриваются очищенные от инфляции денежные потоки, т.е. строится прогноз в неизменных ценах, то ставкой дисконтирования является реальная процентная ставка.
2. Предположение о периодичности поступления денежного потока должно соответствовать прогнозу инфляционной составляющей и премии за риск в ставке дисконтирования.
3. Если в денежных потоках отражены финансовые решения, т.е. вычтены затраты по обслуживанию заемных средств, то ставка дисконтирования отражает риск владельцев только собственного капитала.
4. Если денежные потоки показывают значения отдачи по проекту, доступной всем владельцам капитала (и собственного, и заемного), то ставка дисконтирования отражает риск инвестирования всех владельцев капитала как средневзвешенной величины.
Рассмотрим первый принцип адекватности.

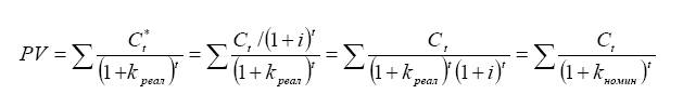
где i – ожидаемая инфляция за период. Обозначим через
, очищенные от инфляции чистые денежные потоки (inflation-adjusted cash flow), а через
номинальные чистые денежные потоки по проекту в период t.
.
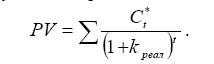
Приведенная к начальному моменту оценка денежных потоков по проекту при использовании расчетной реальной процентной ставки должна считаться следующим образом:

Теоретически полученное значение текущей оценки и чистого эффекта (NPV) должно совпадать с вариантом расчета в номинальных значениях (исходя из формулы Фишера, устанавливающей связь между реальной и номинальной процентными ставками):

Что касается второго принципа адекватности, то ежедневно компания имеет притоки денежных средств (за реализованную продукцию, продаваемые внеоборотные активы, авансовые платежи и т.п.) и оттоки (выплата заработной платы, перечисление налогов, оплата покупаемых оборотных и внеоборотных активов). При рассмотрении проекта возникает проблема выбора адекватного укрупнения периодов получения чистых денежных потоков.
Традиционное рассмотрение оценки проектов строится на предположении, что все денежные потоки поступают в конце прогнозируемого года. Такое рассмотрение денежных потоков по проекту адекватно действительности за исключением ряда случаев:
• высокая инфляция, обычно характерная для развивающихся рынков;
• большие объемы денежных потоков и короткий срок функциониро-вания проекта;
• высокий уровень риска.
Инфляционные составляющие часто снимаются рассмотрением потоков в твердой валюте. Одной из попыток согласования прогнозов по проекту с действительностью является дробное рассмотрение потоков, предполагая, что они поступают в течение года. Ставка дисконтирования должна быть скорректирована. Например, если оценивать проект в России с чистым денежным потоком 100 тыс. долл. в квартал на отрезке 2 года, то с учетом рискованности бизнеса требуемая доходность может составлять 36% годовых в валюте. При использовании предпосылки о поступлении денежных потоков в конце года текущая оценка будущих чистых поступлений по проекту составит 400/1,36 + 400 /1,362 = 510,38 тыс. долл.
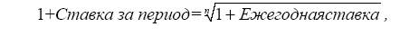
Этот расчет не учитывает возможности реинвестирования по ходу получения денежных потоков в течение года, что неверно при высокой альтернативной стоимости капитала. С учетом ежеквартальных поступлений денежных потоков оценка проекта окажется выше. При этом предполагается, что в рассматриваемые моменты времени поступающих средств достаточно для покрытия текущих расходов или, что более точно, накопленные чистые поступления во времени не отрицательны и по проекту не требуется дополнительного финансирования. Ежеквартальная процентная ставка будет найдена из соотношения

где n - число периодов за год. В нашем примере n = 4. Корень четвертой степени из 1,36 равен 1,0799, и ставка за квартал составит в рассматриваемом примере 7,99%.
Текущая оценка чистых поступлений по проекту составит 8-периодныи аннуитет в 100 тыс. ден. ед. при ставке приблизительно 8% за период. По табл. 2 Приложения 2 находим, что PV = 100 тыс. (5,7466) = 574,66 тыс. долл. Такая оценка проекта более адекватно отражает возможный результат инвестирования.






