
В условиях высокой инфляции заработная плата должна систематически индексироваться.
Средняя заработная плата - заработная плата, исчисленная в среднем на одного работника или на единицу отработанного времени. Рассчитывается делением фонда заработной платы на среднесписочную численность работников или количество фактически отработанных человеко-часов за определенные периоды времени - час, день, неделю, месяц, квартал, с начата года, год.
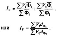
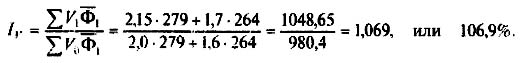
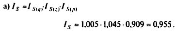
Динамика уровней средней заработной платы анализируется на основе индексов переменного состава, постоянного состава и структурных сдвигов.
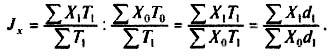
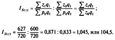
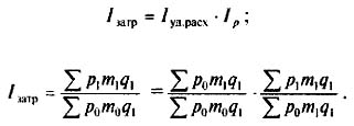
Чаще всего используется индекс переменного состава средней заработной платы:

Индекс переменного состава заработной платы показывает, каким образом изменяется средний уровень заработной платы в отчетном периоде по сравнению с базисным в зависимости от изменения средней заработной платы отдельных категорий пер-соната (на отдельных предприятиях или в отраслях) и удельного веса численности работников с различным уровнем оплаты труда.
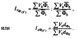
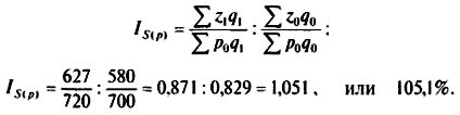
Для устранения влияния структурного фактора исчисляют индекс заработной платы постоянного состава (без учета изменения структуры):

Этот индекс показывает, каким образом изменился уровень заработной платы без учета структурного фактора, т.е. только в результате изменения уровней заработной платы работников в отчетном периоде по сравнению с базисным.
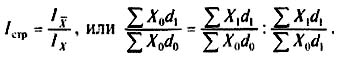
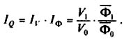
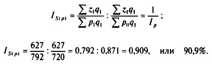
Влияние структурного фактора можно определить с помощью индекса структурных сдвигов, который рассчитывается путем деления индекса переменного состава заработной платы на индекс постоянного состава заработной платы:

Индекс структурных сдвигов отражает влияние изменения структуры совок\пности работников (удельного веса численности работников с различным уровнем заработной платы).
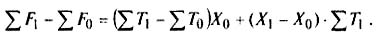
Величина фонда заработной платы может быть получена как произведение численности работников и средней заработной платы.
Поэтому отклонение фактического фонда заработной платы от базисного фонда зависит от двух основных факторов: изменения численности работников (Т) и изменения среднего уровня заработной платы (X).
Следовательно, можно записать:

17.3. Статистические методы изучения дифференциации заработной платы
Статистика изучает дифференциацию работников по уровню заработной платы (так называемый веер заработной платы). Размер заработной платы зависит от уровня квалификации работника, интенсивности труда, условий труда, а также отрасли, в которой занят работник, территориального размещения предприятий и организаций и других факторов.
Основным источником статистических данных о дифференциации заработной платы являются материалы ежегодно проводимого обследования, позволяющие получить ряды распределения работников по размеру заработной платы по отдельным отраслям в экономике и экономике в целом. На основе этих данных рассчитываются различные коэффициенты дифференциации заработной платы (децильный и квартильный коэффициенты, коэффициент фондовx и др.).
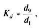
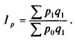
Децилъный коэффициент дифференциации (Kd) работников по уровню заработной платы характеризует соотношение среднемесячной заработной платы 10 %-го работника с самой высокой и 10 %-го работника с самой низкой заработной платой:

Квартилъный коэффициент характеризует соотношение между верхним и нижним квартилями вариационного ряда.
Коэффициент фондов (КД) - соотношение между средними уровнями заработной платы в десятой и первой децильных группах:

Процесс дифференциации работников по уровню заработной платы в России за последние годы усилился. При этом размеры дифференциации (достигающие в различных сферах экономики 15 -25 раз) превышают соответствующие показатели в развитых странах
Возможен и альтернативный вариант изучения веера заработной платы - на основе ее кратности установленному минимуму (примерный перечень показателей: менее установленного минимума, от 1 до 2 минимумов, от 2 до 3. от 3 до 4. от 4 до 6, от 6 до 8, от 8 до 10. от 10 до 15, от 15 до 20, от 20 до 25. от 25 до 30, свыше 30 минимумов).
Данный вариант упрощает проведение сопоставительного анализа дифференциации уровня оплаты труда по странам Содружества.
С 1994 г. обострилась проблема своевременной выплаты заработной платы, по состоянию на конец 1998 г. общая сумма задолженности по выплате заработной платы в России превысила месячный фонд заработной платы предприятий и организаций, имевших задолженность более чем в 3 раза.
Контрольные вопросы
- Охарактеризуйте состав фонда оплата труда и заработной платы.
- Что включается в выплаты социального характера и каково их назначение?
- Назовите показатели заработной платы и дайте им характеристику.
- Как исчисляется реальная заработная плата и что она характеризует?
- Совпадает или нет динамика средней номинальной и средней реальной заработной платы?
- С помощью каких индексов изучается динамика уровней средней заработной платы?
- Назовите методы анализа дифференциации работников по размеру их заработной платы.
Глава 18. Статистика основных фондов
18.1. Состав и классификация фондов. Виды их оценки
Важнейшим показателем, характеризующим экономическую мощь страны, является национальное богатство. Национальное богатство (НБ) - это совокупность материальных ресурсов страны, накопленных продуктов прошлого труда, учтенных и вовлеченных в экономический оборот природных богатств, которыми общество располагает на данный момент времени.
Та часть национального богатства, которая создана трудом человека, т.е. материальные ценности, составляет национальное имущество.
Другая часть представляет природные ресурсы, вовлеченные в экономический оборот.
На начало 1999 г. Россия обладала национальным богатством, достигающим 17047824 млн руб. (без стоимости земли, недр и лесов).
Важнейшую часть национального богатства составляют основные фонды.
Основные фонды - это произведенные активы, часть национального имущества, созданная общественным трудом, которая длительное время неоднократно или постоянно в неизменной натурально-вещественной форме используется в экономике, постепенно перенося свою стоимость на создаваемые продукты и услуги. К ним относятся объекты, которые служат не менее года и стоимостью выше определенного значения, устанавливаемого в зависимости от динамики цен на продукцию фондосоздающих отраслей.
В настоящее время в отечественной статистике действует следующая типовая классификация материальных основных фондов:
- здания (кроме жилья);
- сооружения:
- жилища;
- машины и оборудование;
- транспортные средства;
- инструмент, производственный и хозяйственный инвентарь;
- рабочий и продуктивный скот;
- многолетние насаждения.
- прочие основные фонды.
Для каждой отрасли экономики классификация материальных основных фондов конкретизируется
Нематериальные основные фонды (нематериальные произведенные активы) подразделяются на следующие группы:
- затраты на геологоразведочные работы;
- затраты на программное обеспечение и базы данных ЭВМ;
- ригиналы материальных и художественных произведении (фильмы, звукозаписи, рукописи и т.п.), являющиеся основой для их тиражирования.
Основные фонды делятся на производственные и непроизводственные.
Основные производственные фонды - это средства труда. целиком участвующие в повторяющихся процессах производства и переносящие по частям свою стоимость на готовый продукт по мере износа, К средствам труда относятся здания, сооружения, машины и оборудование, рабочий и продуктивный скот и другие основные фонды, функционирующие в сфере материального производства.
Из определения следует, что к основным фондам относятся только те продукты труда, которые функционируют в производстве. Поэтому, например, не могут быть отнесены к основным фондам станки, находящиеся на складе готовой продукции за-вода-изготовителя; не являются основными фондами земля и дикорастущий лес. реки, поскольку они не являются продуктами общественного труда. В то же время в состав основных фондов войдут капитальные вложения в землю, лесопосадки, искусственно сооруженные водоемы и др.
Различные виды основных фондов выполняют не одинаковую роль в производственном процессе, В связи с этим широкое распространение получила классификация основных производственных фондов на активные и пассивные.
Совокупность основных производственных фондов, которые непосредственно воздействуют на предметы труда (машины, оборудование, инструмент и т.д.) называются активной частью основных фондов. Активные основные фонды - наиболее значимая и мобильная их часть. В ходе научно-технического прогресса возрастает удельный вес активных основных фондов, изменяются их состав и структура, ускоряется сменяемость по причине морального износа.
К пассивной части основных производственных фондов относятся основные фонды, посредством которых обеспечиваются условия для нормального протекания процесса производства (здания, сооружения и др.).
Основными непроизводственными фондами являются матери альные блага длительного пользования, не участвующие в процессе производства и являющиеся объектом общественного и личного потребления. Это - жилые здания, школы, клубы, поликлиники, больницы, транспортные средства непроизводственного назначения, кинотеатры и т.п. Воспроизводство основных непроизводственных фондов осуществляется путем финансирования из средств бюджета.
Основные фонды группируют по формам собственности, территории, отраслям экономики.
В составе национального богатства более 3/4 приходится на основные фонды (производственные и непроизводственные). Так, в 1999 г. стоимость основных фондов России состаатяла 14 285 466 млн руб. или 84% национального богатства.
Поскольк} основные фонды функционируют длительное время и снашиваются по частям, то в каждый конкретный момент времени любой элемент основных фондов может иметь несколько денежных оценок.
Различают оценку основных фондов по первоначальной стоимости и восстановительной. Каждая из них, в свою очередь, может быть рассчитана как полная и как остаточная, т.е. стоимость за вычетом износа.
Полная первоначальная стоимость - это стоимость основных фондов в фактических ценах на момент ввода их в эксплуатацию, которая включает все затраты на сооружения и приобретение основных фондов, а также расходы на их транспортировку и монтаж. В этой оценке основные фонды поступают на баланс предприятий (до момента переоценки основных фондов) и является базой для расчета амортизационных отчислений.
Полная восстановительная стоимость - это сумма затрат, необходимых для воспроизводства в новом виде основных фондов в современных условиях. Восстановительная стоимость определяется на основе инвентаризации и переоценки основных фондов.
В зависимости от изменения цен восстановительная стоимость может быть как больше, так и меньше первоначальной стоимости. В СНС основные фонды оцениваются исключительно по восстановительной стоимости.
Остаточная (или стоимость за вычетом износа) стоимость как первоначальная, так и восстановительная определяется путем вычитания из полной стоимости суммы износа основных фондов. Эта стоимость дает предстаатение о фактической величине стоимости основных фондов, не перенесенной на готовый продукт.
Стоимость основных фондов зависит от уровня цен. Поэтому после значительных изменений в стоимости строительства и стоимости оборудования производят переоценку основных фондов. Такие переоценки основных фондов, вызванные высокими темпами инфляции, начиная с 1994 г., производились на 1 января каждого года с помощью коэффициентов пересчета балансовой стоимости основных фондов в восстановительную стоимость. В соответствии с новым Положением по бухгалтерскому учету ПБУ - 6/97 с января 1998 г. отменена обязательная ежегодная переоценка основных фондов. Руководителям предприятий дано право самим определять сроки и методы переоценки основных фондов.
Денежное выражение физического и морального износа основных фондов называется в статистике амортизацией.
Она характеризует ту часть стоимости основных производственных фондов, которую они теряют в процессе производства и переносят на производимый продукт. Снашивание ОПФ (амортизация) определяется через амортизационные отчисления, включаемые в себестоимость продукции.
По мере реализации продукции денежные суммы, соответствующие снашиванию основных фондов, накапливаются в так называемом амортизационном фонде, назначением которого является обеспечение полного восстановления (реновации) выбывших основных фондов.
Кроме того, амортизационные отчисления должны обеспечить частичное восстановление основных фондов, которое осуществляется в ходе капитального ремонта и модернизации.
Годовая сумма амортизационных отчислений:

Годовая норма амортизации (Na):

Общее наличие основных фондов статистикой чаще характеризуется на определенную дату (например, на начало и конец отчетного периода). Такие данные можно получить непосредственно из балансов основных фондов.
Однако в ряде случаев требуется характеристика наличия основных фондов в среднем за тот или иной период, поскольку в этом периоде происходит движение (изменение наличия) основных фондов вследствие их поступления и выбытия.
Средняя годовая стоимость (объем) основных фондов определяется по данным балансовой стоимости о наличии основных фондов на начало каждого месяца года по формуле средней хронологической:

Среднегодовая стоимость основных фондов может быть использована для определения годовой суммы начисленной амортизации и расчета показателей эффективности их использования.
18.2. Показатели состояния и движения основных средств
Наиболее полное представление о наличии и динамике (поступлении и выбытии) основных фондов дает баланс основных фондов, Такой баланс наряду с данными о наличии основных фондов на начало (Фн) и конец (Фк) отчетного периода содержит данные об их поступлении (П) из различных источников и об их выбытии (В) по различным причинам:

Фк = Фн + П - В
Основные средства принимаются на учет по актам приемки объекта в эксплуатацию, в запас или на консервацию.
Объекты основных средств выбывают с предприятий (фирм) по разным причинам: из-за ветхости и износа, реализации объекта другому юридическому или физическому лицу, безвозмездной передачи. Кроме того машины, оборудование, приборы, транспортные средства и др. могут быть переданы владельцами в долгосрочную аренду с правом и без права выкупа.
По данным о наличии, износе и движении основных средств рассчитываются показатели, имеющие значение для оценки производственного потенциала предприятия. В статистике рассчитывают следующие показатели (коэффициенты), характеризующие состояние и воспроизводство основных фондов;

Коэффициент поступления (ввода)

Он показывает долю всех поступивших в отчетном периоде основных фондов в их общем объеме на конец периода.


Коэффициенты обновления и выбытия основных фондов показывают относительную характеристику вновь введенных или выбывших основных фондов за год или другой изучаемый период.
Коэффициент ликвидности

Для определения степени износа и годности основных фондов рассчитываются коэффициенты износа и годности (по состоянию как на начало, так и на конец года):


Для анализа динамики воспроизводства основных фондов используется коэффициент интенсивности обновления основных средств.
Коэффициент интенсивности обновления

Стоимость выбывших из-за ветхости износа и вновь введенных основных фондов, а также полная стоимость наличных основных фондов берутся по балансовой стоимости за один и тот же период.
18.3. Показатели эффективности использования средств труда
Для характеристики эффективности использования основных средств применяют систему показателей, которая включает обобщающие и частные показатели. Обобщающие показатели отражают использование всех основных производственных средств, а частные - использование отдельных их видов.
Фондоотдача - выпуск продукции в стоимостном выражении на единицу (рубль) стоимости основных производственных фондов является наиболее общим показателем эффективности использования основных средств.
Она рассчитывается путем деления объема произведенной в данном периоде продукции (Q) на среднюю за этот период стоимость основных производственных фондов (Ф):

Фондоотдача показывает, сколько продукции получено с каждого рубля, вложенного в основные фонды; чем лучше используются основные фонды, тем выше показатель фондоотдачи.
Повышение степени использования основных фондов - важный источник увеличения объема продукции и экономии капитальных затрат. Объем продукции можно представить как произведение фондоотдачи и величины основных фондов (по стоимости). Следовательно, и изменение объема продукции происходит вследствие изменения использования основных фондов (фондоотдачи) и их величины:

Поскольку не все виды основных фондов в равной степени участвуют в производстве продукции, то показатель фондоотдачи зависит от структуры основных фондов: от удельного веса активной их части и от удельного веса в последней машин и оборудования.
На макроэкономическом уровне фондоотдача исчисляется на основе валового национального дохода: в отраслях материального производства и на предприятиях - на основе товарной или чистой продукции.
Эффект от улучшения использования основных фондов можно определить индексным методом.
Изменение во времени величины основных фондов (по стоимости в постоянных ценах) характеризует общий индекс фондоотдачи:

Фондоемкость продукции (показатель обратный фондоотдаче) позволяет судить об использовании основных производственных фондов.
Фондоемкость продукции рассчитывается путем деления среднегодовой стоимости основных производственных фондов на стоимость произведенной в течение года продукции:

Этот показатель характеризует стоимость основных производственных фондов, приходящуюся на 1 рубль произведенной продукции.
Он позволяет определить потребность в основных фондах для выпуска определенного объема продукции:

Снижение фондоемкости означает экономию труда, овеше-ствеленного в основных фондах, участвующих в производстве.
При изучении динамики показателей фондоотдачи и фондоемкости для расчета последних и продукция, и основные фонды должны быть оценены в неизменных ценах (сопоставимых).
Динамику использования основных производственных фондов характеризуют индексами перечисленных выше показателей.
Для отдельных предприятий динамика фондоотдачи характеризуется с помощью индивидуальных индексов фондоотдачи, рассчитанных как отношение уровня фондоотдачи отчетного периода к базисному:

Продукция (чаще чистая) берется в постоянных (сопоставимых) ценах, а основные фонды в год их переоценки - по полной восстановительной, а затем - по полной балансовой стоимости.
Динамика среднеотраслевой фондоотдачи обусловлена изменением использования основных фондов на каждом предприятии и удельным весом основных производственных фондов на предприятиях с различным уровнем фондоотдачи. Аналогично изучается динамика фондоотдачи по экономике в целом.
Индекс средней фондоотдачи исчисляется как индекс фондоотдачи переменного состава:

В аналитических целях наряду с индексом фондоотдачи переменного состава следует рассчитывать индекс фондоотдачи постоянного (фиксированного) состава, который характеризует среднее изменение уровней фондоотдачи в целом по совокупности:

Влияние структурных сдвигов на изменение средней фондо-этдачи характеризуется индексом структурных сдвигов:


Взаимосвязь индексов позволяет определить влияние изменения фондоотдачи и величины стоимости основных фондов на изменение объема продукции отдельного предприятия:


Изменение объема продукции по совокупности предприятий от указанных факторов можно исчислить так:


Рост основных производственных фондов означает возрастающую вооруженность труда основными производственными фондами во всех отраслях материального производства.
Фондовооруженность труда - общий показатель, характеризующий оснащенность работников предприятий или отраслей основными фондами, и она рассчитывается как отношение средней годовой стоимости основных производственных фондов к среднесписочной численности работников или рабочих:

В экономико-статистическом анализе показатель фондовооруженности труда может выступать как результат взаимодействия:
а) фондоемкости и производительности труда и является произведением этих показателей:

б) производительности труда и фондоотдачи и измеряется отношением этих показателей:

Фондоотдача и фондовооруженность труда являются факторами роста производительности труда:

Рассмотрим исчисление уровней и динамики фондоотдачи, разложение прироста продукции по факторам на примере.
Задача 1. Пусть, известны следующие данные по акционерному обществу о продукции и стоимости основных производственных фондов за отчетный и базисный периоды (см. табл. 18.1).
Таблица 18.1
Исходные данные д.т расчета уровней и динамики фондоотдачи, тыс, руб










Глава 19. Статистика оборотных фондов
19.1. Показатели наличия и использования оборотных фондов
От основных фондов следует отличать оборотные фонды, включающие такие предметы труда, как сырье, основные и вспомогательные материалы, топливо, тара и т.д. Оборотные фонды потребляются в одном производственном цикле, вещественно входят в продукт и полностью переносят на него свою стоимость.
Совокупность основных производственных фондов и оборотных производственных фондов предприятий образует их производственные фонды.
Наличие оборотных фондов, имеющихся в распоряжении того или иного предприятия, может быть рассчитано как по состоянию на определенную дату, так и в среднем за истекший отчетный период.
Наличие оборотных фондов по состоянию на отчетную дату определяется непосредственно по данным бухгалтерского баланса или более детально - по данным синтетического и аналитического учета.
В целях оперативного управления на предприятии необходимо знать средний остаток оборотных фондов за данный месяц. Исчисляется он как полусумма остатков на начало и конец этого месяца по формуле:

Когда возникает необходимость определить средние остатки оборотных фондов за период времени, включающий несколько равных по продолжительности отрезков (например, по данным за год об остатках на начало и конец каждого квартала), то используется формула средней хронологической:

Изменение остатков оборотных фондов происходит вследствие того, что имеющиеся в начале производственного цикла запасы потребляются в процессе производства, а их возобновление, необходимое для обеспечения непрерывного производственного процесса, происходит за счет финансовых ресурсов, образующихся в результате реализации продукции.
В начале цикла оборота оборотных фондов происходит потребление из уже имеющегося запаса, а в конце - возмещение (возобновление запаса), оплачиваемого из выручки от реализации.
Схематически это можно изобразить так:

Для характеристики скорости оборота оборотных средств (числа оборотов) применяется коэффициент оборачиваемости оборотных фондов, который исчисляется, как отношение стоимости реализованной продукции за данный период на средний остаток оборотных фондов за тот же период:

Отсюда легко определяется и показатель средней продолжительности оборота в днях:


Bоб = 360 * 500: 4000 = 45.
Коэффициент закрешения оборотных фондов - величина обратно пропорциональная коэффициенту оборачиваемости;

Он характеризует сумму среднего остатка оборотных фондов, приходящуюся на один рубль выручки от реализации.
В примере
Kзакр = 1: 8 = 0,125 руб./руб.,
т.е. на один рублъ реализованной продукции в среднем за рассматриваемый период приходуюсь 12,5 коп, стоимости запасов оборотных фондов.
Коэффициент оборачиваемости по экономическому содержанию эквивалентен показателю фондоотдачи основных производственных фондов, коэффициент закрепления основных фондов - показателю фондоемкости.
Оборотные производственные фонды обслуживают сферу производства и по вещественному составу представляют собой предметы труда, а также орудия труда, учитываемые в составе малоценных и быстроизнашивающихся предметов.
- Оборотные фонды сферы материального производства - производственные запасы товарно-материальных ценностей, составляющие основную их часть, а также незавершенное производство и незавершенное строительство. Состав оборотных фондов во многом определяется особенностями тех или иных отраслей экономики. Так, в промышленности в состав оборотных фондов включают следующие их виды: сырье, основные материалы и покупные полуфабрикаты; вспомогательные материалы; топливо и горючее; тару и тарные материалы; запасные части для ремонта; инструменты, хозяйственный инвентарь; незавершенное производство и полуфабрикаты собственного изготовления; незавершенное промышленное производство; запасы и незавершенное производство подсобного сельского хозяйства.
- Оборотные фонды непроизводственной сферы - запасы материальных ценностей, необходимых для текущего потребления в организациях непроизводственного характера, для обеспечения их нормальной работы (например, запасы продуктов в больницах и детских учреждениях, материальные запасы научных учреждений и т.д.).
Результатом ускорения оборачиваемости оборотных фондов является относительное высвобождение из оборота материальных средств.
Сумму средств, высвобождаемых из оборота вследствие ускорения оборачиваемости оборотных фондов (Mвысв), на практике часто определяют не по изменению коэффициента закрепления, а как разность условного значения среднего остатка оборотных фондов, необходимого для получения фактического объема выручки от реализации при плановой (базисной) скорости их оборота в днях и фактического среднего остатка оборотных фондов, т.е. по формуле:

Ускорение оборачиваемости оборотных фондов является важным фактором повышения эффективности производства.
19.2. Определение потребности в оборотных фондах
Эффективное использование оборотных фондов во многом зависит от правильного определения потребности в оборотных фондах. Для предприятия важно определить оптимальную потребность в оборотных фондах, что позволит с минимальными издержками получить прибыль, запланированную при данном объеме производства. Для этого можно использовать три мето-д а: аналитический, коэффициентный и метод прямого счета.
Аналитический метод предполагает определение потребности в оборотных фондах в размере их среднефактических остатков с учетом роста объема производства.
Коэффициентный метод - запасы подразделяются на:
1) зависящие непосредственно от изменения объемов производства (сырье, материалы, незавершенное производство, готовая продукция на складе);
2) независящие от него (запчасти, малоценные и быстроизнашивающиеся предметы).
По первой группе потребность в оборотных фондах определяется исходя из их размера в базисном году и темпов производства продукции в предстоящем году. По второй группе оборотных фондов, не имеющих пропорциональной зависимости от роста объема производства, потребность планируется на уровне их среднефактических остатков за ряд лет.
Метод прямого счета предполагает нормирование оборотных фондов. Норма оборотных фондов выражается в относительных величинах (как правило, в днях). Она рассчитывается по каждому элементу. оборотных фондов и характеризует величину запаса товарно-материальных ценностей на определенный период времени, который необходим для обеспечения непрерывного производственного процесса.
В современных условиях переходной экономики особую актуальность приобретает проблема сокращения запасов сырья, топлива, энергии и т.д. Решение этой проблемы связано с расходом материальных ресурсов - общим и удельным расходом (см. главу 14).
Контрольные вопросы
- Дайте характеристику состава основных оборотных фондов. Какими показателями определяется наличие основных оборотных фондов?
- Назовите показатели, характеризующие эффективность использования оборотных фондов.
- Какими методами определяется потребность предприятия в оборотных фондах?
- Дайте характеристику взаимосвязи между потребностью в основных оборотных средствах и расходом материальных ресурсов (общим и удельным расходом).
20.1.Индексный метод анализа динамики денежных затрат на производство продукции и их факторов
На общие затраты на производство продукции влияет ряд факторов, выступающих в роли сомножителей: изменение средней себестоимости единицы продукции, изменение в структуре выпускаемой продукции, отпускных цен.
Сопоставляя показатели средних затрат на 1 рубль товарной продукции в разные периоды, исчисляют индекс затрат на 1 рубль товарной продукции переменного состава:

Данный индекс отражает изменение затрат на 1 рубль товарной продукции (себестоимости) под влиянием изменения себестоимости, структуры и цен.
Влияние на уровень затрат на 1 рубль товарной продукции изменения объема и состава всей продукции определяется факторным индексом:

Влияние изменения себестоимости единицы продукции на динамику затрат на 1 рубль продукции характеризуется факторным индексом:

Влияние изменения отпускной цены на исследуемый показатель определяется факторным индексом:

Влияние всех рассматриваемых факторов:

Разность между числителем и знаменателем в каждом из записанных выше индексов характеризует в абсолютном выражении снижение (-) или повышение (+) затрат на 1 рубль продукции за счет влияния соответствующих анализируемых факторов.
Для того чтобы оценить изменение общих затрат на производство всей продукции за счет анализируемых факторов, нужно определить влияние каждого фактора на изменение затрат на 1 рубль товарной продукции и умножить на стоимость фактически произведенной товарной продукции в действовавших в отчетном пеоиоде оптовых ценах.
Данные о производстве изделия А на трех предприятиях района








20.1.Индексный метод анализа динамики денежных затрат на производство продукции и их факторов
На общие затраты на производство продукции влияет ряд факторов, выступающих в роли сомножителей: изменение средней себестоимости единицы продукции, изменение в структуре выпускаемой продукции, отпускных цен.
Сопоставляя показатели средних затрат на 1 рубль товарной продукции в разные периоды, исчисляют индекс затрат на 1 рубль товарной продукции переменного состава:

Данный индекс отражает изменение затрат на 1 рубль товарной продукции (себестоимости) под влиянием изменения себестоимости, структуры и цен.
Влияние на уровень затрат на 1 рубль товарной продукции изменения объема и состава всей продукции определяется факторным индексом:

Влияние изменения себестоимости единицы продукции на динамику затрат на 1 рубль продукции характеризуется факторным индексом:

Влияние изменения отпускной цены на исследуемый показатель определяется факторным индексом:

Влияние всех рассматриваемых факторов:

Разность между числителем и знаменателем в каждом из записанных выше индексов характеризует в абсолютном выражении снижение (-) или повышение (+) затрат на 1 рубль продукции за счет влияния соответствующих анализируемых факторов.
Для того чтобы оценить изменение общих затрат на производство всей продукции за счет анализируемых факторов, нужно определить влияние каждого фактора на изменение затрат на 1 рубль товарной продукции и умножить на стоимость фактически произведенной товарной продукции в действовавших в отчетном пеоиоде оптовых ценах.
Данные о производстве изделия А на трех предприятиях района








20.2 Анализ динамики материальных затрат при статистическом изучении себестоимости продукции
В себестоимость продукции входят материальные затраты (т.е. затраты на сырье, топливо, энергию и т.д.). Динамика материальных затрат зависит от двух факторов: удельного расхода материалов и уровня цен, по которым предприятие оплачивает эти материалы. Эти факторы неравноценны: изменение первого непосредственно зависит от работы предприятия, а изменение второго - практически не зависит. Большое значение приобретает выявление влияния каждого из этих факторов на размеры материальных затрат. Для этого применяется следующая система взаимосвязанных индексов:

Рассмотрим использования данной взаимосвязи на примере.





Контрольные вопросы
- Дайте определение понятия "себестоимость" продукции.
- Что понимают под производственной и полной себестоимостью продукции?
- По каким признакам группируются затраты предприятия?
- Что характеризуют показатели себестоимости единицы продукции?
- Какие факторы влияют на изменение затрат на 1 рубль товарной продукции?
- Как определить влияние на уровень затрат на I рубль товарной продукции:
- изменения объема и состава всей продукции;
- изменения себестоимости единицы продукции;
- изменения отпускной цены;
- совокупного влияния этих трех факторов?
- Как разложить величину общего изменения затрат на 1 рубль товарной продукции по факторам?
- Как определить влияние изменения удельных расходов материалов и цен на общие материальные затраты (в относительных и абсолютных величинах)?
РАЗДЕЛ IV
СТАТИСТИКА ФИНАНСОВ
Финансы представляют собой экономические отношения, связанные с формированием, распределением и использованием централизованных и децентрализованных фондов денежных средств в целях выполнения функций и задач государства и обеспечения условий расширенного воспроизводства.
Статистика финансов является отраслью социально- жоно-мической статистики. Предметом ее изучения является количественный и качественный анализ финансово-денежных отношений, возникающих в процессе воспроизводства.
В круг решаемых статистикой финансов задач входят:
- разработка методологии и организация статистического наблюдения за финансовыми ресурсами, включая разра-ботку форм отчетности для финансово-кредитных учреж-дений. предприятий и организаций:
- проведение специальных балансовых расчетов;
- выбор методов статистической обработки информации:
- разработка системы публикаций.
Статистика финансов занимается количественной характеристикой процессов и яатений, происходящих в финансовой системе - системе форм и методов образования, распределения и использования фондов денежных средств государства и предприятий.
В условиях перехода экономики к рыночным отношениям усилилась роль статистики финансов. Это вызвано коренными изменениями состояния финансовой сферы в переходной экономике по сравнению с централизованной экономикой - развитием финансовых рынков, изменением роли и функций Министерства финансов и Центрального банка, переходом предприятий на рыночные принципы функционирования.
Статистика финансов располагает научно-обоснованной системой статистических показателей, характеризующих изменения, происходящее в финансовой системе.
Глава 21.
Статистика цен
21.1 Сущность цены и ее виды
Цена - выражение стоимости товара в денежных единицах, определенной валюты (национальной или международной) за количественную единицу товара. В этой своей функции цены участвуют в процессе распределения и перераспределения национального дохода, влияют на рост производства и прои шоди-тельности труда, повышение уровня жизни населения.
Основой стоимости товара является труд, а величина стоимости определяется теми затратами груда, которые общество при данных условиях признает необходимыми. В действующей практике установления цен под общественно необходимыми затратами понимаются затраты на производство и реализацию продукции с учетом чистого дохода, необходимого для эффективной деятельности предприятий, а также внесения платежей в бюджет.
Категория цен связана с функционированием товарно-денежных отношений. В условиях развитого рынка пена характеризует не только те затраты на производство и реализацию товара, которые произведены, но и признаваемые общественно обоснованными с учетом спроса.
При помощи пен определяются, прогнозируются и анализируются хозяйственные пропорции, эффективность производства, выгодность продукции для производителей и потребителей. Ценой измеряется эквивалентность обмена во внутренних и внешних экономических связях, между промышленностью и сельским хозяйством, предприятиями и организациями. От уровня и динамики цен на товары зависит уровень жизни населения. В цене, таким образом, фокусируются экономические и социальные проблемы общества.
Цена выполняет учетную, стимулирующую и распределительную функции.
Учетная функция позволяет оценить затраты и результаты производства.
Стимулирующая функция призвана активизировать научно-технический прогресс, повысить ресурсосбережение, эффективность производства и качество продукции.
Распределительная функция предусматривает учет в цене акциза на отдельные группы и виды товаров, налога на добавленную стоимость и других форм централизованного чистого дохода, который поступает в федеральный и местный бюджеты. С помощью этой функции цены решаются социальные задачи.
При переходе к рыночной экономике иена выполняет функцию учета спроса и предложения.
В условиях рыночных отношений в экономике в основе формирования уровней цен, их изменения во времени лежит закон стоимости, определяющий закономерность движения цены вокруг стоимости товара. Возможность количественного несовпадения цены с величиной стоимости или отклонения ее от величины стоимости зависит от степени влияния на цену спроса и предложения товаров, от возможностей государственного регулирования цены, от социальных факторов, количества бумажных денег в обращении. Воздействие спроса и предложения

обусловливает текущие колебания цены. Увеличение спроса приводит к превышению цены над стоимостью, а увеличение предложения - к отклонению ее ниже стоимости. Если спрос и предложение уравновешиваются, устанавливается цена равновесия. Все иные цены называются неравновесными.
Цена равновесия является частным случаем ценообразования и устанавливается на рынке на короткое время. Через некоторое время она меняется. Равновесная цена заинтересовывает изготовителя в повышении качества и расширении ассортимента необходимых рынку товаров.
Становление рыночной экономики сопряжено с применением свободных (рыночных) и государственных (фиксированных, регулируемых и предельных) цен.
Свободная цена - рыночная цена, складывающаяся на основе согласования интересов сторон, продавцов и покупателей под воздействием спроса и предложения, конкуренции и прочих рыночных условий. Свободная цена включает в себя налог на добавленную стоимость (НДС), а по некоторым товарам народного потребления учитывает также сумму акциза по установленным ставкам.
Государственные цены - цены, установленные государством на продукцию, товары и услуги, производство которых сосредоточено на предприятиях, занимающих монопольное положение на рынке; на ресурсы, оказывающие определяющее влияние на общий уровень и динамику цен, а также на социально значимые товары и услуги.
Государственные цены подразделяются на цены фиксированные, регулируемые и предельные.
Фиксированная цена - твердо установленная государством цена (тарифы на электрическую энергию, отпускаемую на коммунально-бытовые нужды населения; цены на прокат из драгоценных металлов и сплавов, лом и отходы из них; цены на алмазное сырье, драгоценные, полудрагоценные, синтетические и искусственные камни и изделия из них). Как правило, фиксированные цены приводятся в прейскурантах.
Регулируемая цена - цена, устанавливаемая органами государственной власти и управления на местах по соответствующей номенклатуре продукции (регулирование в регионе тарифов на электрическую и тепловую энергию, отпускаемую потребителям (кроме населения). Особый порядок регулирования цен на продукцию предприятий монополистов установлен с 1992 г.
Предельная цена - государственная цена товара, ограниченная размерами, установленными органами власти и
управления (цены на лекарства, газ и др.). Цена реализации может быть ниже предельного уровня, но не выше его.
Цены в зависимости от обслуживаемой сферы (промышленность, сельское хозяйство, население) подразделяются на оптовые (закупочные), цены производителей и розничные.
Оптовая цена - иена на товар, продаваемый предприятиями крупными партиями (оптом). Оптовые цены могут быть свободными и госу тарственными,
Закупочная цена - вид оптовой пены, применяемой при закупках государством на внутреннем рынке. Закупочные цены являются свободными, они дифференцируются от качества продукции и с учетом географической сегментации рынка.
Цена производителя - цена, получаемая производителем за реализацию товаров (оказание услуг). Формируется обычно как иена франко-станция отправления (т. е. без учета стоимости доставки продукции до потребителя) и не включает в себя натог на добавленную стоимость и дотации.
21.2. Статистическое изучение цен
Статистическое изучение цен направлено на то. чтобы измерить их уровни в разрезе определенных товарных групп, выразить структурные различия этих уровней и показать их динамику. При этом широко используются средние величины и индексный метол.
Цены меняются непрерывно, что-то дорожает, что-то дешевеет: да и величины, на которые увеличиваются или уменьшаются цены, тоже различны. Поэтому, чтобы ответить на вопрос, на какую величину возросли или упали цены, необходимо знать их средние величины: средние цены и средние изменения цен.
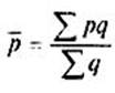
Средняя цена - средний уровень цены отдельного товара или совокупности качественно однородных товаров. Средняя иена отдельного товара исчисляется за определенный период времени (в случаях, когда в течение периода менялись иены), по территории (при различии в уровне цен в отдельных территориальных пунктах), по всему объему продаж данного товара (если реализация его в различных формах торговли производится по неодинаковым ценам). Величина средней цены в этих случаях определяется как уровнем цен, так и соотношением объемов реализации товара по розничным пенам. Поэтому она определяется, как правило, по формуле средней арифметической взвешенной
при наличии данных о продаже в натуральном измерении и по формуле
средней гармонической взвешенной
если данные представлены в стоимостном выражении.
Только в отдельных случаях допускается определение средней цены, как простой средней арифметической (например, при расчете рыночных средних цен за месяц).
Пространственное и временное сопоставление средних уровней цен позволяет судить о региональных различиях цен и динамике цен.
Для изучения вариации (дифференциации) цен используются традиционные методы анализа, основанные на вычислении таких показателей, как размах вариации, среднее линейное отключение, дисперсия, среднее квадратическое отклонение, коэффициент вариации. (Методы их расчета и решение типовой задачи рассмотрены в главе 5.).
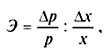
Если на основе фактических данных установлен факторный признак (например, увеличение доходов населения), влияющий на уровень цен, то анализ ее вариаций дополняется расчетом эмпирического коэффициента эластичности А. Маршалла:

Эмпирический коэффициент эластичности отражает процентные изменения цены в результате увеличения факторного признака на 1%.
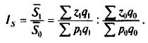
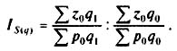
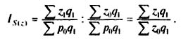
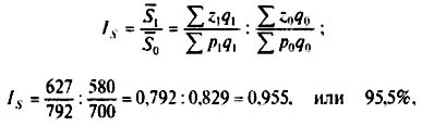
Система средних цен широко используется для сравнения цен на однородную продукцию. Для определения динамики цен однородной продукции исчисляется индекс цен переменного состава.

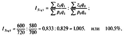
Этот индекс испытывает на себе не только влияние конкретных цен, но и структуры продукции. Чтобы изучить структурные особенности цен, исчисляется индекс структурных сдвигов.

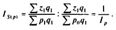
Деление индекса переменного состава на индекс структурных сдвигов дает индекс цен постоянного состава, или обычный агрегатный индекс цен:

При статистическом изучении цен часто качественно разнородные по своему потребительскому назначению товары объединяются в совокупность, обладающую новым качеством. В таких случаях средняя цена теряет свое реальное значение, и статистический анализ направлен на характеристику пространственного или временного изменения цен без использования средней. Достигается это при помощи агрегатных индексов цен:

Аппарат индексного метода, позволяющий осуществлять анализ обобщающего показателя - цены, должен дополняться анализом факторов, влияющих на уровень цен, (Применение этих индексов и их модификаций были рассмотрены в главе 8.).
21.3. Индексы потребительских цен и покупательной способности рубля
В условиях рыночных отношений в экономике особое место среди индексов качественных показателей отводится индексу цен. С помощью индекса цен осуществляются оценка динамики цен на товары производственного и непроизводственного потребления, пересчет важнейших стоимостных показателей СНС из фактических цен в сопоставимые. Индекс цен является общим измерителем инфляции при макроэкономических исследованиях, используется при корректировке законодательно устанавливаемого минимального размера оплаты труда, установлении ставок налогов и т.д.
Для характеристики динамики цен на потребительском уровне рассчитывается сводный индекс потребительских цен (ИПЦ), который отражает динамику цен конечного
потребления. Он измеряет обшее изменение стоимости фиксированного набора потребительских товаров и услуг, называемых "потребительской корзиной". В набор товаров и услуг, разработанный для наблюдения за ценами, репрезентативно включены товары и услуги массового потребительского спроса, а также отдельные товары и услуги необязательного пользования (легковые автомобили, ювелирные изделия из золота, техническое обслуживание автомобилей и т.д.). Отбор позиций произведен с учетом их относительной важности для потребления населением, представительности с точки зрения отражения динамики цен на однородные товары, устойчивого наличия их в продаже.
В условиях федеративного устройства России наблюдение за изменением цен (тарифов) проводится на территории всех субъектов Российской Федерации.
Наблюдение осуществляется на предприятиях торговли и сферы услуг всех видов собственности и типов торговли (государственные, муниципальные, кооперативные, акционерные, арендные, частные, коммерческие) и на рынках.
В условиях нестабильного развития экономики при расчетах ИПЦ с месячным интервалом набор потребительской корзины ежегодно меняется. В 1999 г. потребительский набор включал 414 товаров и услуг: 104 позиции - продовольственные товары. 225 - непродовольственные товары и 85 - платные услуги.
Наряду с ежемесячной регистрацией цен по полному перечню товаров и услуг проводится еженедельная регистрация цен и тарифов на товары и услуги, входящие в состав необходимого социального набора, и производится контроль его расчетной стоимости (всего 37 наименований). Кроме того, в еженедельном режиме рассчитывается стоимость набора из 25 важнейших продуктов питания, соответствующего нормам потребления, разработанным Институтом питания АМН совместно с Институтом социально-экономических проблем народонаселения РАН и Министерством труда России.
Индекс потребительских цен характеризует изменение во времени общего уровня цен на товары и услуги, приобретаемые населением для непроизводственного потребления. Он измеряет отношение стоимости фактического фиксированного набора товаров и услуг в текущем периоде к его стоимости в предыдущем (базисном) периоде:

Расчет индекса потребительских цен осуществляется:
- к предыдущему месяцу (или периоду);
- к декабрю предыдущего года (или квартала);
- к соответствующему месяцу (или периоду) предыдущего года, например, январь 1999 г. к январю 1998 г.
Индекс потребительских цен является одним из важнейших показателей, характеризующих уровень инфляции, и используется в целях осуществления государственной финансовой политики, анализа и прогноза ценовых процессов в экономике, регулирования реального курса национальной валюты, пересмотра минимальных социальных гарантий, решения правовых споров.
Острая необходимость определения национального показателя инфляции стала ключевым фактором при разработке временного ИГЩ России. Требования международной методологии предполагают использование для этих целей формулы Лайспейреса, а не Пааше. Для текущей ситуации в России наиболее гибким яатяется применение в оперативном режиме следующего варианта формулы Ласпейреса:

Расчет ИГЩ производится с недельной, месячной, квартальной периодичностью, а также нарастающим итогом за период с начала года.
Расчет за месяц, квартал, период с начала года производится "цепным" методом, т. е. путем перемножения недельных (месячных, квартальных) индексов потребительских цен.
Используемый цепной процесс облегчает введение новых товаров или их замещение, когда возникает такая необходимость. Он хорошо отражает изменения цен "с точки зрения потребителя".
Сводный ИГЩ рассчитывается на федеральном уровне для всего населения. Кроме того, начиная с 1994 г. организованы расчеты ИПЦ по группам населения ("рабочие и служащие", "пенсионеры"). Одновременно рассматривается возможность проведения экспериментальных расчетов индексов пен по группам населения с разным уровнем дохода.
Методология исчисления ИПЦ предполагает расчет индекса для отдельных регионов, товарных групп и услуг.
Вследствие недостатков в ценообразовании в связи с либерализацией цен, их стремительным ростом, приватизацией торговли,
созданием новых частных торговых точек, появлением значительного числа неформальных или, как их называют, черных рынков, приходится более гибко, более оперативно менять методологию расчета ИПЦ. Сводный индекс, исчисленный по формуле Ласпей-реса, несет в себе тенденцию к завышению инфляции, поскольку в течение периода, когда цены растут, потребители заменяют дорогие товары дешевыми, поэтому в условиях высокой инфляции индекс Лайспейреса следует использовать осторожно.
По мере появления информации о структуре потребительских расходов населения в текущем периоде у статистических органов России возникает возможность производить ретроспективные расчеты ИПЦ также и по формуле Пааше.
Госкомстат России заинтересован в создании независимого индекса потребительских цен, соответствующего международным стандартам. Поэтому методология расчета ИПЦ в России постоянно совершенствуется. Величины индексов потребительских цен, рассчитанных по годам и месяцам, публикуются в официальных изданиях. Например:

Индекс потребительских цен - это своеобразный барометр жизненного тонуса страны, уровня благосостояния каждой семьи, каждого человека. Его традиционно называют индексом стоимости жизни. Корзина товаров и услуг ИПЦ фиксирована с тем, чтобы данному уровню жизни соответствовало одно и то же значение индекса. При таком подходе изменения индекса могут вызываться только изменением цен, но не переменами в структуре потребления в результате изменения доходов или появления новых товаров.
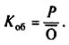
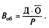
Индекс потребительских цен принимается в качестве индекса-дефлятора при нахождении реальных денежных доходов, реальной заработной платы на основе их номинальных значений:

Аналогично рассчитываются индексы реалъных доходов, реальной заработной платы:

Реальные значения этих показателей изучаются в динамике.
Наряду с исчислением ИПЦ возникает необходимость в расчете индекса цен предприятий-производителей промышленной, сельскохозяйственной, строительной и другой продукции. Эти индексы могут использоваться в качестве одного из основных показателей инфляционных процессов в производственном секторе. Индексы цен предприятий-производителей формируются на базе изменений цен предприятий-производителей. Наблюдение за изменением