
14.7. Показатели частоты и равномерности поставок
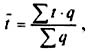
14.7.1. Средняя частота поставок
Поставка сырья, материалов и топлива поставщиками производится, как правило, партиями; с интервалом во времени между очередными поставками.
Средняя продолжительность интервалов между поставками материалов за определенный период называется средней частотой поставок (или поступление материалов на предприятия-потребители).
Средняя частота одинаковых поставок измеряется в днях и определяется по следлюшей формуле:

Если поставка производится в различных количествах, необходимо определить средневзвешенный интервал поставки. где q - количество поставляемого материала на конец интервала

14.8. Анализ качества поставленной продукции
Повышение качества продукции, как правило, равнозначно увеличению её количества. Например, из поставляемой руды с повышенным содержанием металла производят больше металла и т.д.
Необходимое качество продукции устанавливается ГОСТами, ТУ и другими условиями по договорам.
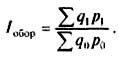
Средняя цена на поставленную продукцию зависит от её качественного состава.
Изменение качества поставленной продукции может отразить индекс средней цены на эту продукцию.
Для однородной продукции по группе предприятий применяют средний индекс качества, исчисляемый как средняя из индивидуальных коэффициентов качества, взвешенных по объему поставленной продукции:

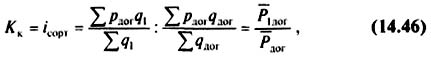
При делении продукции по сортам вычисляют индекс сортности:

Индекс динамики качества поставленной продукции можно

Если за снижение качества взыскиваются штрафы, коэффициент качества поставленной продукции может быть исчислен так:
В целом коэффициенты качества не достигают единицы, если поставки будут пониженного качества.
Задача 5. По данным табл. 14.4 исчислить: среднюю цену по договору, среднюю цену фактически поставленного сырья, индекс выполнения плана по качеству.



Качество фактически поставленного сырья на 5.1°Г: ниже предусмотренного обязательствами.
14.9 Анализ выполнения договорных обязательств по поставкам продукции
В условиях усложнившихся связей между предприятиями, отраслями и регионами большое значение имеет организация кооперированных поставок. Нередко они осуществляются для конкретного потребителя.
Для анализа общего объема кооперированных поставок и выполнения договорных обязательств могут быть использованы следующие общие индексы.
Индекс выполнения договорных обязательств по объему:

Индекс выполнения договорных обязательств по ассортименту:

Индекс выполнения договорных обязательств по ассортименту и срокам поставки:

Комплексный показатель (Kкомпл) выполнения обязательств с учетом всех трех факторов равен произведению этих индексов.
Общий объем недопоставленной продукции (НП) под влиянием выявленных причин равен разности между объемом фактического поступления и объемом поступления, предусмотренного договорами:

Контрольные вопросы
- Что понимают под предпринимательской деятельностью?
- Кто может выступать в роли субъекта предпринимательской деятельности?
- Объект и предмет курса "Статистика предприятия и предпринимательства",
- Что собой представляет продукция предприятия?
- Назовите и охарактеризуйте натуральные, условно-натуральные noказатели объема продукции предприятия.
- Дайте понятие стоимостных показателей валовой, товарной (объема продукции), реализованной, чистой продукции и установите различия между ними.
- Охарактеризуйте виды продукции по степени ее готовности.
- Как исчисляются индексы физического объема продукции?
- Как выбрать нужную форму индекса физического объема продукции в зависимости от наличия исходных данных, изменения цен, целей и задач исследования?
- Как и с помощью каких индексов осуществляется анализ влияния факторов на динамику объема реализации продукции и услуг (в относительных и абсолютных единицах)?
- Приведите формулы расчета средних товарных запасов за исследуемый период.
- Как исчисляется обеспеченность предприятия товарными запасами в днях? Ее значение.
- Как определяется общий и удельный расход материальных ресурсов?
- Как исчисляются и что характеризуют индексы удельных расходов (одного вида материала, сводный индекс, индексы переменного, постоянного состава и структурных сдвигов}?
- Как исчисляются индексы затрат на единицу однородной продукции и на всю израсходованную продукцию
- Как исчисляются индексы цен на единицу однородной израс ходованной продукции и на весь выпуск различных изделий?
- Назовите индексные системы, применяемые в статистике расхода материальных ресурсов.
- В чем смысл и как исчисляется коэффициент оборачиваемости товарных запасов?
- Экономический смысл коэффициента закрепления ресурсов.
- Как исчисляются средняя продолжительность оборота в днях и ускорение (замедление) оборачиваемости запаса?
- Что понимают под относительным высвобождением материальных, ресурсов из запаса и как его рассчитывают?
- Что понимают под поставкой проекции?
- Какая продукция относится к ревизованной?
- Как исчисляются индексы выполнения договорных поставок по объему и по ассортименту?
- Как рассчитывается средняя частота поставок?
- Как определить равномерность поставок с помощью коэффициента вариаций?
- Как исчисляются коэффициенты качества поставленной продукции (индивидуальный, сортности и с учетом штрафов за снижение качества)?
- Как исчисляются индексы выполнения договорных обязательств по объему, ассортименту и срокам поставки?
- Как определяется общий объем недопоставленной продукции и осуществляется его раможение по факторам?
Глава 15. Статистика численности работников и использования рабочего времени
15.1. Структура и состав работников предприятия
Общая численность работников, называемая персоналом предприятия, разделяется на д в е большие группы:
- промышленно-производственный персонал (ППП). занятый производством и его обслуживанием;
- персонал непромыщленных организаций (работники жилишно-коммунального хозяйства, детских и врачебно-еанитарных учреждений, принадлежащих предприятию).
Все занятые нл предприятии подразделяются по категориям: рабочие, руководители, специалисты, служащие, для чего создан классификатор профессий и должностей.
К рабочим относят работников предприятия, непосредственно занятых созданием материальных ценностей или оказанием производственных и транспортных услуг; в зависимости от продолжительности работы рабочие подразделяются на постоянных, временных и сезонных рабочих: в зависимости от характера выполняемой работы - на основных и вспомогательных. Соотношение последних - аналитический показатель работы предприятия.
Коэффициент численности основных рабочих Kосн.р определяется по формуле:

Специалисты и руководители осуществляющие организацию производственного процесса и руководство им.
К служащим относятся работники, осушествляеющие финансово-расчетные, снабженческо-сбытовые и другие функции.
Работники предприятия распределяются по профессиям, специальностям и квалификации.
Профессией называется комплекс знаний, умений и навыков, необходимых для выполнения определений работы, квалификацией - степень овладения этими знаниями, умением и
навыками, специальность связана с углублением профессионального разделения труда.
Квалификация рабочих находит внешнее выражение в присвоении рабочему того или иного разряда тарифной сетки. Сводным показателем квалификации рабочих предприятия является средний тарифный разряд рабочих, который вычисляется как средняя арифметическая взвешенная по числу рабочих каждого разряда:

В зависимости от распределения рабочих по тарифным разрядам можно выделить также квалификационные группы (при 6-разрядной сетке): высококвалифицированные рабочие (5-й и 6-й разряды); квалифицированные (3-й и 4-й разряды), малоквалифицированные (1-й и 2-й разряды) и неквалифицированные (рабочие, не имеющие разряда, вне тарифной сетки). Неквалифицированный труд рассматривается как простой, квалифицированный - как сложный.
Основными показателями численности работников предприятий являются:
1) списочное, явочное число и число фактически работавших работников на дату;
2) среднее списочное, среднее явочное и среднее число фактически работавших за определенный период времени.
В списочный состав включаются все работники, принятые на постоянную, сезонную и временную работу на срок один день и более, со дня зачисления их на работу в соответствии с заключенными трудовыми договорами (контрактами). В списочном составе работников за каждый календарный день должны быть учтены как фактически работающие, так и отсутствующие на работе по каким-либо причинам.
Списочная численность работников характеризует их наличие на определенную дату, например, на первое или последнее число месяца, включая принятых и исключая выбывших в этот день работников.
При определении численности работников предприятия, учреждения, организации за какой-либо период (месяц, квартал, год) нужно учитывать изменения этого показателя, происшедшие в течение рассматриваемого периода. Для определения численности работников за отчетный период исчисляется среднеспи-сочная численность работников, которая используется для исчисления производительности труда, средней заработной платы, коэффициента оборота, текучести кадров и других показателей.
Среднесписочная численность работников за отчетный месяц исчисляется путем суммирования численности работников списочного состава по данным табельного учета за каждый календарный день отчетного месяца, т.е. с 1-го по 30 или 31-е число (для февраля - по 28 или 29 число), включая праздничные (нерабочие) и выходные дни, и деления полученной суммы на число календарных дней отчетного месяца:

За квартал, с начала года и за год среднесписочная численность работников рассчитывается путем суммирования среднесписоч-ной численности работников за все месяцы, входящие в отчетный период, и деления полученной суммы на число месяцев.
Если предприятие работало неполный год (сезонный характер работы или вновь введено), то среднесписочная численность работников определяется путем суммирования среднесписочной численности работников за все месяцы работы предприятия (списочная численность на те дни (месяца), когда предприятие не работало, принимается равной нулю) и деления полученной суммы на 12.
От списочного состава работников следует отличать явочный состав, который показывает, сколько человек из состоящих в списке явилось на работу. Число фактически работающих - это численность персонала, не только явившегося, но фактически приступившего к работе. Разность между явочным числом и числом фактически работающих показывает количество лиц, находящихся в условных простоях (из-за отсутствия электроэнергии, материалов и т.д.).
Среднесписочная численность работников может быть получена делением количества явок и неявок за весь месяц на число календарных дней в месяце.

∑ Tнеяв - человеко-дни неявок.
Если данные о списочном составе за все дни месяца отсутствуют, среднесписочная численность за месяц может быть определена как сумма списочной численности работников на начало и конец месяца, деленная на два. Однако результат в этом случае будет менее точный.
На основе моментных показателей списочной численности работников на начало (конец) каждого месяца средняя списочная численность работников предприятия за более длительный период может быть определена как средняя хронологическая моментного ряда:

Среднесписочная численность работников по группе предприятий, отрасли и экономики в целом определяется как сумма среднесписочной численности отдельных предприятий.