

27.3. Наращение процентов и инфляция
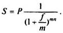
В рассматриваемых выше методах наращения все денежные величины применялись по номиналу, т, е. не принималась во внимание реальная покупательная способность денег. Вместе с тем инфляция стала неотъемлемым элементом экономического развития, которую необходимо учитывать при проведении финансовых операций.
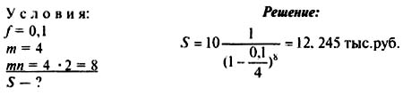
Изменение покупательной способности денег характеризуется с помощью индекса покупательной способности денег (рубля) /пср.
Этот индекс равен обратной величине индекса цен:

Тогда реальная наращенная сумма денег (с учетом ее обесценивания):

Если наращение производится по простой ставке, реальная наращенная сумма (с учетом инфляции) равна:

Видим, что увеличение наращенной суммы с учетом сохранения покупательной способности денег имеет место тогда, когда 1 + ni > Ip
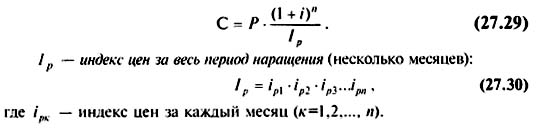
При наращении по сложным процентам реальная наращенная сумма (с учетом инфляции):


27.4. Консолидация платежей
В практической деятельности возникает необходимость изменения условий контракта - объединение (консолидация) нескольких платежей, замена единовременного платежа рядом последовательных, изменение сроков платежей. Основным
требованием при совершении операций является финансовая эквивалентность платежей.
Общий метод решения задач - построение уравнения эквивыентности.
При объединении платежей сумма заменяемых пгатежей, приведенных к одной и той же дате, приравнивается к новому обязательству.
Уравнение эквивалентности при применении простых процентных ставок имеет вид:


27.5 Методы составления планов погашения обязательств
Современные финансово-банковские операции часто предполагают не отдельные или разовые платежи, а некоторую их последовательность во времени. Например, погашение задолженности в рассрочку. Такие последовательности, или ряды платежей называются потоком платежей, отдельный элемент этого потока - членом потока.
Поток платежей, все члены которого положительные величины, а временные интервалы между платежами одинаковы, называют
финансовой рентой, или просто рентой, а иногда аннуитетом. Например, выплаты в рассрочку страховых премий, процентов по облигации и т.д. Во всех приведенных случаях выплаты или получение денег производится через равные промежутки времени. По количеству выплат (членов ренты) на протяжении года ренты делятся на годовые (выплата раз в году) и р - срочные (р - количество выплат в году).
По количеству начислений процентов на протяжении года различают: ренты с ежегодным начислением, с начислением т раз в году, с непрерывным начислением.
Если платежи осуществляются в конце периодов, то соответствующие ренты называются обыкновенными, или постнумерандо, если платежи производятся в начале периодов, то ренты называются пренумерандо.
27.5.1. Обыкновенная годовая рента
Рассмотрим наиболее простой способ составления тана ежегодного последовательного погашения задолженности на примере полученного в банке кредита на п лет под простые проценты по ставке i процентов годовых.



Контрольные вопросы
- Что собой представляют финансовые вычисления?
- Что такое "процентные деньги"?
- В чем отличие наращения денег по простым и сложным процентам?
- Назовите формулы наращения по простой процентной ставке.
- Какой процесс называется капитализацией процентов?
- Назовите формулы наращения по сложным процентным ставкам.
- Как осуществляется определение наращенной суммы по смешанным процентным ставкам?
- Что такое номинальная и эффективная ставки? Назовите область их применения.
- Что понимают под современной величиной полученной ссуды?
- В нем сущность и назначение метода математического дисконтирования?
- В чем суть операции банковского учета (учета векселей)?
- Как осуществляются дисконтирование и наращение по простым и сложным учетным ставкам?
- Как учитывается инфляция при нахождении реагьной наращенной суммы по простым и сложным процентам?
- В чем сущность консолидации плаежей?
- Кем исчисляется сумма консолидированного платежа?
- Что такое "финансовая рента" или "аннуитет"?
- Охарактеризуйте методику составления тана последовательного погашения задолженности.
Список рекомендуемой литературы
Громыко Г.Л. Статистика. - М.: Изд-во МГУ им. М.В. Ломоносова, 1981.
Гусаров В.М. Теория статистики: Учеб. пособие для вузов. - М.: Аудит, ЮНИТИ, 1998.
Елисеева И.И. Статистические методы измерения связей. - Л.: Изд-во ЛГУ, 1982.
Елисеева И.И., Юзбашев М.М. Общая теория статистики: Учебник для вузов. - М.: Финансы и статистика, 1995.
Ефимова М.Р., Рябцев В.М. Общая теория статистики: Учебник для вузов. - М.: Финансы и статистика, 1991.
Ефимова М.Р., Петрова Е.В., Румянцев В.Н. Общая теория статистики: Учебник для в\юв. - М.: Инфра-М.1996.
Курс социально-экономической статистики: Учебник для вузов/ Под ред. М.Г. Назарова. - М.: Финстатинформ, ЮНИТИ - ДАНА, 2000.
Методологические положения по статистике. Вып 1 - Госкомстат России. -М, 1996.
Методологические положения по сташетике. Вып. 2 - Госкомстат России. -М., 1998.
Национальное счетоводство: Учебник/ Под ред. Г.Д. Кулаш-ной. - М.. Финансы и статистика, 1997.
Новиков М.М., Теслюк И.Е. Макроэкономическая статистика: Учебное пособие. - Минск.: БГЭУ, 1996.
Общая теория статистики / Под ред. А. Я. Бояре кого, Г.Л.Громыко. - М.: Изд-во МГУ им. М.В.Ломоносова, 1985.
Общая теория статистики: Статистическая методология в коммерческой деятельности: Учебник для вузов / Под ред. А.С. Спирина и О.Э. Башиной. - М.: Финансы и статистика, 1996.
Общая теория статистики: Учебник для вузов А.Я.Боярский, Л.Л.Викторова, А М.Гольдберг и др. - М.: Финансы и статистика, 1985
Общая теория статистики: Учебник для вузов / Т.В.Рябушкин, М.Р.Ефимова, И.М.Платова, Н.И. Яковлева. - М.: Финансы и статистика, 1981.
Общая теория статистики/Г.С. Кильдишев, В.Е. Овсиенко, Т.В. Рабинович, Т.В. Рябушкин. - М.: Статистика, 1980.
Общая теория статистики: Учебник для вузов / B.C. Козлов, Я.М. Эрлих, Ф.Г. Долгушевский. П.И. Полушин. - М.: Финансы и статистика, 1985.
Пасхавер И.С., Яблочник А.Л. Общая теория статистики: Учеб. пособие - М.: Финансы и статистика, 1983.
Петер фон дер Липпе. Экономическая статистика: Статистические очерки. Т.1: Пер. с нем. Федеральное статистическое управление Германии, 1995.
Практикум по статистике: Учеб. пособие для вузов / Под ред. В.М. Симчеры / ВЗФЭИ. - М.: Финстатинформ. 1999.
#P#
Практикум по обшей теории статистики: Учеб. пособие / Н.Н. Ряузов, Н.С. Лартещко, А.И. Харламов и др, / Под ред. Н.Н. Ряузова. (2-е изд.. перераб, и доп.). - М: Финансы и статистика, 1981.
Рябушкин Б, Т. Национальные счета и экономический баланс.
- М,: Финансы и статистика, 1999.
Рябушкин Б.Т. Основы статистики финансов. - М.: Финста-тинформ. 1997.
Ряузов Н.Н, Общая теория статистики: Учебник для вузов. - М.: Финансы и статистика. 1984.
Сафронова В.П. Показатели системы национальных счетов в отечественной статистике: Учеб. пособие для вузов. - М.: Финстатинформ, 1996.
Симчера В.М., Едронова В.Н., Сафронова В.П, Практикум по финансовой и биржевой сштистике: Учеб. пособие - М.: ВЗФЭИ, 1993.
Симчера В.М., Шаднев ХА. Основы коммерческих расчетов. - М.: Народная академия культ\ры и общечеловеческих ценностей, 1994.
Сироткина Т.С., Каманина А. Ч. Основы теории статистики: Учеб. пособие. - М.: АО "Финстатинформ". 1995.
Сироткина Т.С., Хорин А.Н. Статистическое моделирование и прогнозирование. - М/ Изд-во ВЗФЭИ, 1988.
Социальная статистика: Учебник /Под ред. чл.-кор. РАН И.И.Елисеевой. -М.: Финансы и статистика. 1997.
Статистика: Курс лекций для вузов / Под ред. В.Г. Ионина. - М.: ИНФРА-М, 1996.
Статистика материально-технического обеспечения: Учебник / Под ред. М.Р. Эйдельмана, - М.: Финансы и статистика. 1989.
Статистика промышленности: Учебник / Под ред. В.Е.Адамова. - М.: Финансы и статистика. 1987.
Статистика рынка товаров и \сл>г: Учебник/ Под ред. И.К. Беляевского - М.: Финансы и статистика, 1995.
Статистический словарь. - М.. Финстагинформ, 1996.
Теория статистики Учебник для в\зов/ Под ред. Р.А. Шмойло-вой - М.: Финансы и статистика. 1998.
Теслюк И.Е. Статистика финансов: Учеб. пособие. - Минск.: Высш. шк., 1994.
Четыркин Е.М, Методы финансовых и коммерческих расчетов (2-е изд.. испр. и доп). - М.: Дело Лт.д., 1995.
Экономическая статистика: Учебник / Под ред. Ю.Н. Иванова.
- М.: ИНФРА-М, 1998.
Экономика и статистика фирм: Учебник / Под ред. С.Д. Ильенковой. - М.: Финансы и статистика, 1996.
Вопросы статистики: Ежемесячный научно-информационный журнал Госкомстата РФ. - М.: 1990 - 2000 гг.
Российский статистический ежегодник. - М.: 1999.
#P#






