Пусть требуется минимизировать логическую функцию
.
5.1. Будем вначале минимизировать аналитическим способом.
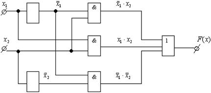
5.1.1. Составляем принципиальную схему для реализации заданной функции в базисе элементов И, ИЛИ, НЕ (табл. 5.1, строки 1, 2, 3). Схема приведена на рис. 5.1 и содержит 6 элементов логики.

Рис. 5.1. Реализация исходной логической функции
На схеме (рис. 5.1) для пояснения на выходах элементов указаны полученные логические функции.
Составляем таблицу истинности (табл. 5.2).
При составлении таблицы истинности записываются все возможные комбинации входных переменных Х 1 и Х 2, последовательно определяются по правилам, указанным в табл. 5.1, соответствующие значения для всех выходов.
Таблица 5.2
Таблица истинности исходной логической функции
| № п/п | X 1 | Х 2 | | | Х 2 | Х 1 Х 2 | | F = Х 2 + Х 1 Х 2 + + |
5.1.2. Минимизируем логическую функцию. При преобразовании для пояснения будем указывать номер используемых логических тождеств алгебры, приведенных выше.
|
|
|
F (X) =
X 2 + X 1 X 2 +

= X 2(
+ X 1) +

= X 2 +

= X 2 +

=

=

=

= X 2+ 
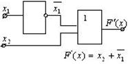
5.1.3. Составляем схему реализации минимизированной логической функции. На рис. 5.2 показаны два варианта реализации полученной функции в различных базисах, т.е. реализованные на различных логических элементах.
Оба варианта реализации (см. рис. 5.2) следуют из двух последних преобразований при минимизации функции на этапе 5.1.2 данного примера. Минимизированное устройство реализовано на 2 элементах в каждом из наборов. Для других логических устройств количество элементов после минимизации может быть разным для разных наборов.

Рис. 5.2. Схема реализации минимизирования функции:
а – в базисе И, ИЛИ, НЕ; б – в базисе И-НЕ, ИЛИ-НЕ
Строим таблицу истинности для минимизированной функции.
Значения логических функций F ' и F'' при всех комбинациях входных переменных до минимизации (см. табл. 5.2) и после нее (табл. 5.3) полностью совпали. Это подтверждает, что преобразования проведены верно и минимизация правильная. После минимизации количество реализующих функцию элементов (см. рис. 5.2) уменьшилось до двух.
Таблица 5.3
Таблица истинности после минимизации
| № п/п | x 1 | x 2 | |
Примечание. Два набора реализации отличаются тем, что в одном все элементы (кроме элемента НЕ) не имеют инверсии, а в другом – все элементы имеют инверсию (с кружками на выходе в условных обозначениях). При этом для последующей минимизации на другом наборе элементов часто достаточно применить к полученному результату правило де Моргана (см. логические тождества), часто неоднократно.
|
|
|
5.2. Перейдем к компьютерной минимизации в среде Workbench.
5.2.1. Принципиальная схема для реализации заданной функции уже была составлена на этапе 5.1.1 (см. рис. 5.1), собираем ее в среде Workbench.
Для этого открываем программу Workbench и на рабочем пространстве размещаем необходимые элементы схемы. Общие элементы (например, Connector – точка подключения) расположены на панели инструментов «Basic», открываются при нажатии на кнопку
; элементы логических устройств находятся на панели инструментов «Logic Gates», открываются при нажатии на кнопку
в верхнем меню программы.
Дальнейшее построение ведется путем «перетаскивания» требуемых элементов на рабочее пространство. Ко входам и выходам устройства рекомендуется подключать вместо клемм, показанных на исходной схеме (см. рис. 5.1), элементы Connector – точки подключения (показано стрелками слева на рис. 5.3). Располагаем логические элементы в порядке их следования, как на исходной схеме. После этого соединяем входы и выходы элементов друг с другом. Для этого необходимо подвести указатель мыши к одному из контактов соединяемых элементов, указатель мыши примет форму черной жирной точки. После этого щелкнуть по этой точке левой кнопкой мыши и, не отпуская кнопку, вести указатель мыши («протягивать» линию) до второго контакта и после появления там жирной точки отпустить левую кнопку мыши.
Внимание!Workbench не создает узловые соединения вблизи мест «пайки» электронных элементов, поэтому узлы следует размещать с некоторым отступом от выводов элементов.
Для создания трехвходового элемента OR–ИЛИ берем двухвходовый элемент ИЛИ и дважды щелкаем на нем левой кнопкой мыши –
в появившемся меню свойств выбираем Number of Inputs (количество входов) и отмечаем 3. Аналогично можно сделать по нажатию правой кнопки мышки, выбрав сначала в появившемся альтернативном меню раздел Component properties – свойства компонента.
В результате должна появиться следующая схема (рис. 5.3). Названия элементов NOT, AND и OR подписаны дополнительно в свойствах элемента в разделе Label – метка (по двойному щелчку левой кнопки мыши на каждом элементе) и выведены на индикацию в разделе Display.
Для получения исходной таблицы истинности можно подключить ко входам логического устройства источники питания и
изменять их значения на 0 или +5 В для перебора всех состояний. Выходное состояние оценивать либо по вольтметру, подключенному к выходу, либо с помощью светодиодного индикатора. Такой способ удобен для предварительной отладки схемы.

Рис. 5.3. Набор схемы устройства в среде Workbench
Будем использовать более быстрый способ с автоматическим построением таблицы истинности и минимизацией с помощью специального устройства Logic Converter – логического преобразователя. Основные элементы управления показаны на рис. 5.4.
Выносим элемент на рабочее поле и соединяем соответствующие входы и выходы (рис. 5.5). После чего нажимаем два раза левой кнопкой мыши на добавленный элемент Logic Converter – откроет-ся его окно. Дальнейшее управление моделированием осуществляется кнопками в области Conversions – преобразования. Для автоматического построения таблицы истинности нажимаем на верхнюю кнопку – появляется построенная исходная таблица истинности.
На рис. 5.5 это действие пояснено стрелкой с надписью 1. Стрелка с надписью 2 иллюстрирует минимизацию цифрового логического устройства по нажатию соответствующей кнопки. В итоге в окне результатов (на него указывает стрелка 2) появляется минимизированная логическая функция в виде
. К выводу A конвертераподключен вход X1 логического устройства, а к выводу B – вход X2. Поэтому полученный результат означает, что минимизированная функция в исходных обозначениях выглядит
|
|
|
.

Рис. 5.4. Элементы управления устройством Logic convertor:
1 – Получение исходной таблицы истинности для логического устройства; 2 – получение по исходной таблице истинности исходной логической функции; 3 – получение по таблице истинности минимизированной логической функции; 4 – построение по записанной логической функции таблицы истинности; 5 – по записанному логическому выражению строится схема устройства на минимально полном наборе элементов И, ИЛИ, НЕ; 6 – по записанному логическому выражению строится схема устройства на другом минимально полном наборе элементов И–НЕ, ИЛИ–НЕ; 7 – поле для записи логической функции; 8 – поле для записи таблицы
истинности
Нажатие следующей ниже кнопки (кнопка 5 на рис. 5.4) приводит к построению и выводу принципиальной схемы минимизированного логического устройства. На рис. 5.5, а) это пояснено стрелкой с надписью 3.
Нажатие последней снизу кнопки (кнопка 6 на рис. 5.4) приводит к минимизации на другом минимально полном наборе элементов И–НЕ, ИЛИ–НЕ и выводу соответствующей принципиальной схемы. На рис. 5.5 это показано стрелкой с надписью 4 и схемой, обозначенной как b. Для последнего случая результирующая функция выглядит так:
.
Все полученные результаты совпали с соответствующими, полученными при аналитической минимизации в подразделе 5.1 (сравни, например, рис. 5.2 с рис. 5.5, a и b). следовательно, минимизации выполнены корректно.

Контрольные вопросы и задания
5.1. Что такое минимально-полный набор логических элементов и из каких элементов состоят минимально-полные наборы?
5.2. На основании правила де Моргана для двух логических переменных запишите правило де Моргана для трех логических переменных и докажите его корректность.
5.3. Как выглядит принципиальная схема логического устройства, если при минимизации был получен результат F = 1?
5.1. Укажите маркировку отечественных логических микросхем.
5.2. Составьте схему для определения таблицы истинности без применения логического преобразователя.
|
|
|
5.3. Какие уровни напряжения соответствуют значениям логическим 0 и 1?
5.4. C каким максимальным количеством логических переменных может производить минимизацию логический преобразователь Logic?
Литература
5.1. Захаров, В.Н. Системы управления. Задание. Проектирование. Реализация / В.Н. Захаров, Д.А. Поспелов, В.Е. Хазацкий. – М.: Энергия, 1977. – 424 с.
5.2. Рогинский, В.Н. Основы дискретной автоматики / В.Н. Рогинский. – М.: Связь, 1975.
5.3. Основы импульсной и цифровой техники: учебное пособие для вузов / В.В. Гусев [и др.]. – М.: Советское радио, 1975. – 440 с.