Магнитная цепь – совокупность устройств, содержащих ферромагнитные тела, электромагнитные процессы в которых могут быть описаны с помощью магнитодвижущей силы, магнитного потока и разности магнитных потенциалов.
Магнитная индукция
векторная величина, определяющая силу, действующую на движущуюся заряженную частицу со стороны магнитного поля. Единицей магнитной индукции является тесла (Тл).
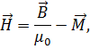
Напряженность магнитного поля
векторная величина, которая равна геометрической разности вектора магнитной индукции
, деленного на магнитную постоянную
, и вектора намагниченности
, А/м:

где
намагниченность, характеризующая магнитное поле состояния вещества, А/м.
Абсолютная магнитная проницаемость
величина, характеризующая магнитные свойства вещества. Для изотропных веществ магнитная проницаемость является скалярной величиной, равной отношению модуля магнитной индукции к модулю напряженность магнитного поля:

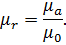
Относительная магнитная проницаемость
величина, равная отношению абсолютной магнитной проницаемости
к магнитной проницаемости 

Для воздуха
, так как
Относительная магнитная проницаемость – величина безразмерная.
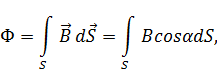
Магнитный поток Ф – поток вектора магнитной индукции сквозь некоторую поверхность S:

где dS – элемент поверхности S; α – угол между направлением вектора магнитной индукции и перпендикуляром к поверхности dS.
В случае когда вектор магнитной индукции перпендикулярен пронизываемой им поверхности S, т.е. угол α = 0,

Магнитный поток выражается в веберах (Вб) и является интегральной оценкой магнитного поля.
Магнитодвижущая сила (МДС) F – скалярная величина, равная линейному интегралу напряженности магнитного поля вдоль рассматриваемого замкнутого контура l, охватыващего полный ток, который создает это поле:

где dl – элемент контура интегрирования.
Магнитодвижущая сила измеряется в амперах.
Закон полного тока:
Циркуляция вектора напряженности магнитного поля вдоль контура l равна полному электрическому току, протекающему через поверхность S, натянутую на контур l, если направление тока образуют с направлением обхода контура правовинтовую систему.

Законы Ома и Кирхгофа справедливы для магнитной цепи.
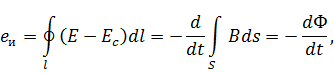
Закон электромагнитной индукции:
ЭДС электромагнитной индукции e и в контуре l равна скорости изменения магнитного потока через поверхность S, натянутую на контур l, причем направление скорости изменения магнитного потока образует с направлением e илевовинтовую систему.

где
– напряженность стороннего электрического поля.