1. Для проведения аналитического контроля и заключения о качестве в ОТК фармацевтического предприятия поступил готовый раствор Сульфокамфокаина 10% в ампулах.
1. Приведите химическое строение сульфокамфокаина. Дайте характеристику его физических, физико-химических и химических свойств.
2. Обоснуйте выбор реакций подлинности и условий их проведения.
3. Предложите методы количественного анализа сульфокамфокаина. Напишите уравнения реакций.

Приготовление препарата:
Смесь 49,6 г. сульфокамфорной кислоты и 50,4 г. новокаина (основания) доводят до 1 л водой для инъекции.
Сульфокамфокаин – это прозрачная или слегка желтоватая жидкость, легко растворимая в воде. Температура плавления 192 – 195 °С. Удельное вращение от -20° до -24° (5% водный раствор).
Химические свойства препарата Сульфокамфокаина обусловлены химическими свойствами новокаина и сульфокамфорной кислоты.
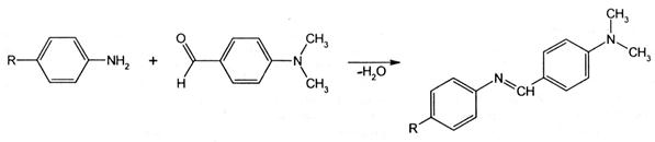
а) Новокаин образует шиффовы основания, вступая во взаимодействие с альдегидами, например, с N-диметиламинобензальдегидом в присутствии с концентрированной серной кислотой. Появляется жёлтое или оранжевое окрашивание:
|
|
|
R = (- COOCH2 – NH+ – (C2H5)2)

б) Являясь сложным эфиром новокаин при взаимодействии с гидроксиламином в щелочной среде образует гидроксамовые кислоты:

в) Первичные ароматические амины вступают в реакции конденсации с 2,4-динитрохлорбензолом, образуя имеющие хиноидную структуру – соединения цвиттер-ионы:

г) Под действием хлороформа и спиртового раствора гидроксида натрия первичные ароматические амины образуют изонитрилы – вещества, имеющие тошнотворный запах:

д) Для определения сульфокамфорной кислоты используют реакцию взаимодействия с 2,4-Динитрофенилгидразином – образуется оранжево-жёлтый осадок.

2.
Подлинность:
Подлинность устанавливают отдельно на новокаин, и отдельно на сульфокамфорную кислоту.
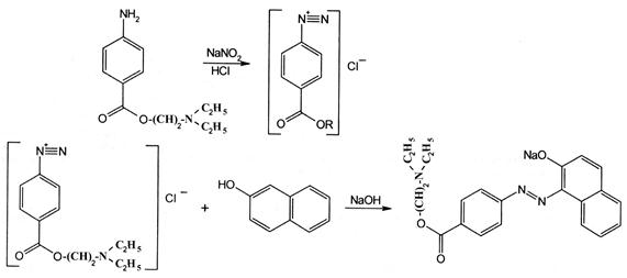
1. Наиболее специфичной для определения новокаина является реакция образования азокрасителя (на первичную ароматическую аминогруппу). При этом образуется интенсивное красно-оранжевое окрашивание.

2. Для определения подлинности сульфокамфорной кислоты используют реакцию взаимодействия с 2,4-Динитрофенилгидразином – образуется оранжево-жёлтый осадок.

3. Для определения сульфогруппы в соединении используют окислительную минерализацию. Проводится путём нагревания сухого вещества с концентрированной азотной кислотой (или сплавлением с окислительной смесью нитрат калия и карбонат калия). При этом ковалентно связанная сера окисляется до сульфид-иона, который доказывают по реакции:

Белый осадок, не растворимый в кислотах
|
|
|
3.
1. Алкалиметрия для сульфокамфорной кислоты.

Индикатор – фенолфталеин. УЧ=1
2. Количественное определение новокаина осуществляют методом нитритометрии (на холоде). Индикатор смесь метиленово-синий и тропеолина 00 и титруем 0,1 М раствором натрия нитрита от красно-фиолетового до голубого окрашивания.







