1.. Вычертить координатные оси для ориентации направлений векторов сил и эпюр моментов.
2. Вычертить расчетную схему вала в соответствии с выполненной схемой нагружения валов редуктора (см. рис. 11-111)
3. Выписать исходные данные для расчетов:
а) силовые факторы: силы в зубчатых зацеплениях, силы в передачах гибкой связью, консольные силы;
б) геометрические параметры: расстояния между опорами, расстояние между точками приложения консольной силы и реакции смежной опоры подшипника – l, l (рис. 11-111), диаметры делительной окружности шестерни (червяка) или колеса – d1, d2.
4. Обозначить опоры подшипников заглавными буквами латинского алфавита и реакции опор подшипников RХ, RY соответственно в горизонтальной и вертикальной плоскостях, т.е. в опоре А возникает две реакции RAХ, RAY.
5. Определить значения реакций в опорах предварительно выбранных подшипников вала в вертикальной и горизонтальной плоскостях, составив два уравнения равновесия плоской системы сил и выполнить проверку.
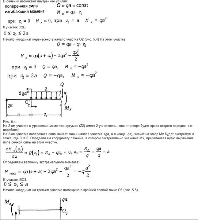
3. Построение эпюр крутящих моментов Мкр.
Крутящий момент в сечении численно равен алгебраической сумме внешних моментов, приложенных по одну сторону от рассматриваемого сечения, относительно продольной оси Z.
Правило знаков для Мкр: условимся считать крутящий момент в сечении положительным, если при взгляде на сечение со стороны рассматриваемой отсеченной части внешний момент виден направленным против движения часовой стрелки и отрицательным - в противном случае.
Пример 2. Построить эпюру крутящих моментов для жестко защемленного стержня (рис.3,а).
Порядок расчета.
Следует отметить, что алгоритм и принципы построения эпюры крутящих моментов полностью совпадают с алгоритмом и принципами построения эпюры продольных сил.
1.Намечаем характерные сечения.
2.Определяем крутящий момент в каждом характерном сечении.









