Системный подход позволяет найти оптимальное, в широком смысле, решение задачи проектирования за счет всестороннего, целостного рассмотрения как проектируемого изделия, так и самого процесса проектирования, и способен привести к подлинно творческим новаторским решениям, включая крупные изобретения и научные открытия.
Главным средством автоматизации проектирования являются ЭВМ и управляемые ими другие технические средства, которые создают необходимую основу для полной реализации потенциальных возможностей системного подхода.
Системный подход получает все большее распространение при проектировании и управлении. Сущность системного подхода состоит в том, что объект проектирования или управления рассматривается как система, т. е. как единство взаимосвязанных элементов, которые образуют единое целое и действуют в интересах реализации единой цели. Системный подход требует рассматривать каждый элемент системы во взаимосвязи и взаимозависимости с другими элементами, вскрывать закономерности, присущие данной конкретной системе, выявлять оптимальный режим ее функционирования. Системный подход проявляется прежде всего в попытке создать целостную картину исследуемого или управляемого объекта. Исследование или описание отдельных элементов при этом не является самодовлеющим, а производится с учетом роли и места элемента во всей системе [72, 50, 62, 93].
Методическим средством реализации системного подхода к исследованию, проектированию или управлению сложным процессом служит системный анализ, под которым понимается совокупность приемов и методов исследования объектов (процессов) посредством представления их в виде систем и их последующего анализа.
Всякая система общается с внешней средой, имеет входы X и выходы P из нее (рис. 2.1) [28].
Входами могут быть: состав комплектующих элементов с их параметрами; параметры пленки при производстве транзисторов и т. д.; выходами могут быть показатели качества готовой продукции (надежность РЭС, процент выхода годных приборов и т. п.).
Система обычно подвержена возмущениям Z; для их компенсации, для того чтобы система работала в нужном режиме, используют управляющие воздействия U (электрические непрерывные и дискретные сигналы, различные механические воздействия и т. д.) [22, 28].

Рис. 2.1. Простейшая структура объекта проектирования
Следовательно, системными объектами являются параметры изучаемой системы: вход, процесс, выход, цель, обратная связь и ограничения. Под действием системных объектов понимается качество параметров объектов. Свойства позволяют количественно описывать объекты, выражая их в присущих им единицах, обладающих определенной размерностью.
Если элементы накладывают взаимные ограничения на поведение друг друга, это свидетельствует о том, что между ними существует связь. Наличие связи между элементами и их свойствами является условием наличия системы.
Системный анализ предполагает системный подход и к изучению связей между элементами, между подсистемами и системой.
Процесс функционирования сложной системы происходит на многих уровнях. Система расчленяется на подсистемы, которые представляют собой компоненты, необходимые для существования и действия системы.
Центральный этап методологии системного анализа — определение целей. Для проектировщиков важно четко представлять себе, что требуется от будущей системы управления, какие результаты желательны. Следовательно, необходимо иметь определенный набор требований к системе, т. е. четко сформулированную цель проектирования. Уже на самых первых фазах уяснения задачи необходимо иметь представление о тех целях, которые предполагается достичь в результате проектирования технологического процесса, в результате управления им.
Формулирование целей создает возможность выбора связанных с ними критериев. В системном анализе под критерием понимается правило, по которому проводится отбор тех или иных средств достижения цели. Критерий в общем случае дополняет понятие цели и помогает определить эффективный способ ее достижения. В том случае, когда между целью и средствами ее достижения имеется четкая однозначная связь, критерий может быть задан в виде аналитического выражения. Эта ситуация типична, например, для "простых" систем проектирования или управления, когда критерий, заданный в виде функционала, позволяет найти управляющие воздействия, обеспечивающие заданную цель. Поэтому в таких ситуациях понятия цели и критерия не различают. В сложных системах с высокой степенью неопределенности, когда цели носят качественный характер и получить аналитическое выражение не представляется возможным, следует отличать цели от критериев, характеризуя средства достижения цели [49].
Критерий должен отвечать ряду требований. Во-первых, он должен отражать основную, а не второстепенную цель функционирования управляемой системы. Во-вторых, отражать вcе существенные стороны деятельности системы, т. е. быть достаточно представительным. В-третьих, критерий должен быть чувствительным к существенным изменениям, возникающим в процессе функционирования управляемой системы.
Для проектирования и управления всегда желательно иметь единственный критерий оптимальности, что облегчает принятие решений и позволяет решить задачу оптимизации математически.
Системный подход требует прослеживания как можно большего числа связей — не только внутренних, но и внешних, — чтобы не упустить действительно существенные связи и факторы и оценить их влияние на систему.
При разработке систем управления производственными процессами в связи с применением ЭВМ неизбежно приходится рассматривать прежде всего такие вопросы, как совершенствование структуры управления, методы подготовки и принятия решений и, соответственно, формирование целей и критериев, используемых в процессе проектирования.
Существенное место в понятии системы занимает принцип целостности, согласно которому взаимосвязь и взаимодействие объектов порождает новые, системные свойства объекта, не присущие отдельным его элементам.
С точки зрения системного подхода к автоматизации проектирования, процесс проектирования представляет собой многослойную иерархическую процедуру с оптимизацией решений в каждом слое.
Принцип иерархичности в проектировании и управлении, а также принцип целостности обусловливают необходимость построения системы критериев, когда частные критерии, предназначенные для решения задач низшего звена управления (подсистемы), логически совпадают с критериями, применяемыми на более высоком иерархическом уровне.
В процессе проектирования и управления сопоставляются выходные величины, т. е. результат функционирования системы, с критерием. Следовательно, критерий в управляемой системе — это признак, по которому выбирается наиболее эффективный способ достижения цели. Он является той величиной, которую нужно максимизировать или минимизировать при управлении системой в соответствии с целью ее деятельности.
Таким образом, система — это достаточно сложный объект, который можно расчленить на составляющие элементы или подсистемы. Элементы информационно связаны друг с другом и с окружающей объект средой. Совокупность связей образует структуру системы. Система имеет алгоритм функционирования, направленный на достижение определенной цели.
Например, при проектировании автоматизированной системы управления технологическим процессом (АСУТП) его рассматривают как взаимосвязанную совокупность отдельных типовых технологических процессов и аппаратов, при взаимодействии которых возникают статистически распределенные по времени возмущения, т.е. существуют стохастические взаимосвязи между входными и выходными переменными подсистем.
При создании новых технологических процессов или реконструкции старых с целью их оптимизации решаются, как правило, такие задачи:
организация работы производства и соответствующих агрегатов в оптимальных режимах по экономическим и энерготехнологическим показателям;
передача функций управления самому агрегату через оптимальную организацию материальных и энергетических потоков в агрегате, т. е. структура агрегата организуется кибернетически;
обеспечение надежности функционирования агрегата.
Исходя из этих основных задач, решаемых при проектировании технологических процессов, необходимо формировать цели, критерии и ограничения на самых ранних стадиях проектирования. Эти требования в равной степени справедливы при конструкторском проектировании.
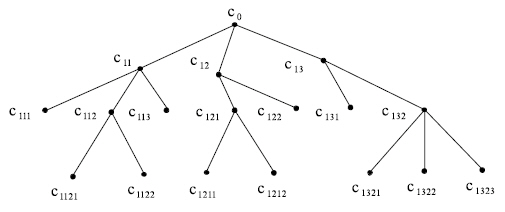
Глобальную цель проектирования или управления обычно не удается связать непосредственно со средствами ее достижения. Поэтому ее обычно разбивают (декомпозиция) на более частные локальные цели, позволяющие выявить средства их достижения. Такой метод системного анализа называют методом построения дерева целей [49].
Дерево (рис. 2.2) является удобным средством для представления существующих иерархий. Корень дерева отождествляется с системой, а уровни дерева — с подсистемами и элементами.
Аналогично строится дерево целей, где корень дерева соответствует генеральной цели, а остальные вершины — подцелям, причем по мере опускания по уровням дерева цели становятся более частными. Разбиение генеральной цели на подцели продолжается до тех пор, пока не появится возможность связать цели нижних уровней дерева со средствами, обеспечивающими выполнение этих целей.
Таким образом, одна из главных задач построения дерева — установление полного набора средств, обеспечивающих достижение поставленной генеральной цели и выявление связей между этими средствами.

Рис. 2.2. Дерево целей
Несмотря на то, что дерево целей формируется на эвристической основе, при реализации метода построения дерева можно выделить два этапа:
построение первоначального варианта дерева целей;
определение коэффициентов относительной важности его отдельных элементов и формирование окончательного варианта дерева целей.
Иерархия систем проектирования и управления, определение необходимого числа уровней, установление между уровнями правильных взаимосвязей, организация информационных потоков, создание контуров принятия решений — все это тесно связанные вопросы рационального выбора схем проектирования и управления. Решение их определяется материальной природой объектов, характером происходящих в них процессов и взаимодействиями между ними, ограничениями на их функционирование, а также алгоритмами управления. Эти факторы оказывают непосредственное влияние на выбор структуры сложной системы.
В работе [87] проводится анализ влияния различных факторов на формирование или выбор структуры сложной технической системы с позиций таких важнейших характеристик структуры, как степень централизации и норма управляемости.
Степень централизации служит в некотором смысле мерой разделения полномочий между уровнями системы. Для каждой пары смежных уровней (i–1,i), i = 2,..., N степень централизации может измеряться отношением объема wi задач, решаемых на iM уровне, к объему wi-1 задач, решаемых на (i–1)M уровне, т. е. = wi/wi-1 (рис. 2.2).
Объем wi решаемых задач может быть оценен, например, через количество перерабатываемой информации на уровне i.
Смещение основной массы решений в сторону высшего уровня (повышение степени централизации) обычно отождествляется с повышением управляемости подсистем и улучшением качества решений с одновременным увеличением объема перерабатываемой информации на верхних уровнях. Смещение решений в сторону нижних уровней (повышение степени децентрализации) соответствует увеличению самостоятельности подсистем, уменьшению объема информации, перерабатываемой верхними уровнями.
Понятие степени централизации тесно связано с другой характеристикой структуры организации — нормой управляемости. Последняя определяет объем задач, решением которых может эффективно управлять руководитель. Ограничение на "мощность переработки информации" в подсистемах существенно влияет на выбор структуры.
Степень централизации и норма управляемости, как правило, изменяются с переходом от одного иерархического уровня системы к другому. Кроме того, на них существенное влияние оказывает автоматизация управления.
Важным показателем, определяемым при формировании или выборе структуры, считается трудоемкость (сложность) управления. Данный показатель характеризует затраты (стоимость) человеко-машинного времени при выполнении функций управления для систем с заданной структурой и алгоритмом управления.
Функция сложности (трудоемкости) управления зависит от размерности решаемых на различных уровнях задач, числа подсистем на каждом уровне иерархии и числа уровней. Основой для определения необходимого числа уровней иерархии обычно служит либо загрузка возможных звеньев системы, либо некоторая функция сложности управления, определяемая характером и количеством операций при различных схемах управления. Функция сложности может быть определена при заданных алгоритмах работы узлов и взаимосвязях между ними.
В работе [87] приводятся два утверждения, которые необходимо учитывать при выборе структуры. Во-первых, при отсутствии ограничений нельзя увеличить показатель качества управления, увеличивая количество уровней управления. Во-вторых, необходимо стремиться ограничивать число подсистем на данном уровне управления. Тогда задача состоит в нахождении структуры управления с минимальным количеством уровней управления и минимальным количеством подсистем на каждом уровне при допустимой сложности управления.
Быстродействие системы управления определяется ее способностью реагировать с достаточной оперативностью на возникающие возмущения. Быстродействие зависит не только от возможностей технических средств и персонала в осуществлении сбора, обработки и передачи информации, но и от организационной структуры, т. е. от распределения функций управления и необходимых для их реализации полномочий по уровням руководства и структурным подразделениям каждого уровня.

Рис. 2.3. Допустимые структуры сложных систем
Излишняя централизация удлиняет цепь передачи информации к звеньям, выполняющим решения, в результате чего возможны искажения. Кроме того, вследствие удлинения цепи передачи информации "с места в центр" и передачи решений "из центра на места" удлиняется время между отправкой информации и получением решения.
При оптимизации взаимодействия между уровнями в иерархической системе управления важной является проблема координации.
Цель высшей подсистемы — влиять на низшие таким образом, чтобы достигалась общая цель, заданная для всей системы. Это и составляет содержание понятия координации.
Согласно изложенному, наилучшая иерархическая структура из допустимых структур, приведенных на рис. 2.3, показана в подпункте "д". Среди структур, имеющих четыре уровня управления (рис. 2.3б, в, г), лучшая структура показана на рис. 2.3б, т. к. она имеет минимальное число подсистем высших уровней.
Следовательно, любая сложная система может быть реализована на основе различных структур. В связи с этим возникает уже на первых порах проектирования системы проблема выбора (синтеза) при заданных ресурсах оптимальной структуры, которая максимизирует критерий качества (в общем случае векторный) функционирования системы.
Под проблемой синтеза структуры понимается [93]:
синтез структуры управляемой системы, т. е. оптимальное разбиение множества управляемых объектов на отдельные подмножества, обладающие заданными характеристиками связей:
выбор числа уровней и подсистем (иерархия системы);
выбор принципов организации управления, т. е. установление между уровнями правильных взаимоотношений (это связано с согласованием целей подсистем разных уровней и с оптимальным стимулированием их работы, распределением прав и ответственностей, созданием контуров принятия решений);
оптимальное распределение выполняемых функций между людьми и средствами вычислительной техники;
выбор организационной иерархии.
Под проблемой анализа структуры понимается определение основных характеристик системы при некоторой выбранной (фиксированной) структуре.
Контрольные вопросы и упражнения
1. Дайте определение понятия "проектирование".
2. Что является предметом изучения в теории систем?
3. Назовите признаки, присущие сложной системе.
4. Приведите примеры иерархической структуры технических объектов, их внутренних, внешних и выходных параметров.
5. Приведите примеры условий работоспособности.
6. Почему проектирование обычно имеет итерационный характер?
7. Назовите основные стадии проектирования технических систем. Чем обусловлено прототипирование?
8. Дайте характеристику этапов жизненного цикла промышленной продукции.
9. Назовите основные типы промышленных АС и виды их обеспечения.
10. Какие причины привели к появлению и развитию CALS-технологий?
11. Что понимают под комплексной АС?