Подсчет нагрузок на элементы, не смотря на монолитность покрытия, производится как для разрезных конструкций.
Таблица 2. Сбор нагрузок на плиту
| № п/п | Вид нагрузки | Норматив-ная, кН/м2 | γf, коэф. надёжн. по нагр. | Расчёт-ная, кН/м2 |
| I | Постоянные нагрузки, g: | |||
| Керамическая плитка δ = ()м, ρ= ()кН/м3 | () | 1,2 | () | |
| Цементно-песчаная стяжка δ = ()м, ρ= ()кН/м3 | () | 1,3 | () | |
| Ж/б плита δ =hпл.=()м, ρ=_(25)кН/м3 | () | 1,1 | () | |
| Итого: | () | () | ||
| II | Временная нагрузка, v | () | 1,2 | () |
| III | Полная нагрузка, q | () | () |
I. Постоянные нагрузки складываются из:
- собственного веса конструкций;
- собственного веса пола.
Тип пола подбирают согласно СНиП 2.03.13-88 «Полы».
δ – толщина слоя, м; ρ – объёмный вес, кН/м3.
Объемный вес берём из справочника.
Для получения нормативной нагрузки удельный вес умножают на толщину слоя, округление только в большую сторону, 2 знака после запятой. Величина нормативной временной нагрузки задана по варианту, считаем подвальное перекрытие. В варианте нагрузка дана в кг/м2, в таблицу подставляем кН/м2.
|
|
|
Расчётная нагрузка получается путем умножения нормативной величины на коэффициент надёжности по нагрузке γf (принимаем по [3]– табл.7.1, п. 8.2.2).
Погонная нагрузка определяется путем умножения равномерно распределённой нагрузки на ширину площадки.
Погонная постоянная нагрузка:

q– полная расчётная нагрузка из таблицы;
В = 1 м – ширина грузовой площадки;
– коэффициент, учитывающие класс ответственности здания [4]
Изгибающий момент в крайнем пролете:

Изгибающий момент на опоре В:


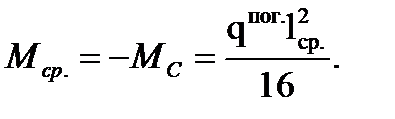
Изгибающий момент в среднем пролете и на опоре С:







