Введение.
Железобетонные перекрытия по технологии изготовления бывают 2-х типов: монолитные и сборные. В курсовом проекте рассмотрено здание с неполным каркасом (несущие кирпичные стены, внутренние несущие элементы – колонны).
Перекрытие над подвалом выполнено в монолитном варианте, а вышележащие перекрытия – сборные.
Номер варианта состоит из 3-х цифр.
1-я цифра – для определения нормативной временной нагрузки на междуэтажное и подвальное перекрытие в кг/м2 (переводим в кН/м2).
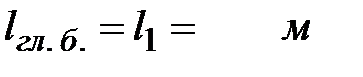
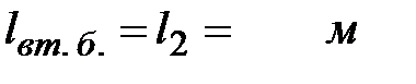
на пересечении 2-й и 3-й цифр – пролеты l1х l2 в м.
Компоновка перекрытия. (Архитектурный этап).
Назначим 3 пролёта l1 поперек и 5 пролётов l2 вдоль здания.

Рис.1. План монолитного перекрытия здания с главными балками в продольном направлении.

Рис.2. План монолитного перекрытия здания с главными балками в поперечном направлении.
Для каменных несущих стен существуют привязки: 0, 200, 250, 300 мм. Толщина наружных стен – любая, на расчет не влияет. Размеры поперечного сечения ж/б колонн среднего ряда: 300 х 300, 350 х 350, 400 х 400 мм. Выбор типоразмера конструкции производится на основании нагрузки и пролетов.
Предварительно назначаем размеры колонны.
Монолитное перекрытие можно делить на отдельные элементы условно, т. к. оно выполняется в единой опалубке. Оно состоит из: главных балок, которые опираются на колонны и несущие стены; второстепенных балок, расположенных перпендикулярно к главным (они опираются на главные балки и несущие стены), их шаг намного меньше; монолитной плиты.
Главные балки могут располагаться как в продольном, так и в поперечном направлении.
Вариантное проектирование.
При проектировании любых конструкций всегда разрабатывают несколько вариантов, т. е. применяют метод вариантного проектирования. При вариантном проектировании сравнение ведут по ТЭП. Стоимость железобетонных конструкций зависит от расхода бетона.
Рассмотрим 2 варианта В 1-м варианте рассмотрим продольное расположение главных балок, во 2-м – поперечное (рис. 1, 2).
Конструктивно назначаем размеры конструкций [6].
Таблица 1. Предварительное конструктивное назначение размеров конструкций
| Вариант I | Вариант II |
| Длина главной балки | |
| |
| Высота главной балки | |
| |
| Ширина главной балки | |
| |
| Пролет плиты | |
| |
| Высота плиты | |
| |
| Длина второстепенной балки | |
| |
| Высота второстепенной балки | |
| |
| Ширина второстепенной балки | |
| |
| Объем бетона | |
|
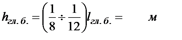
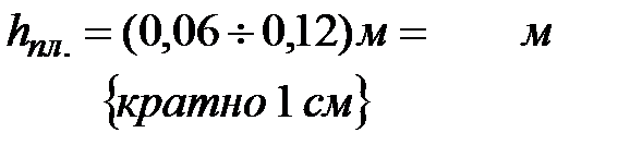
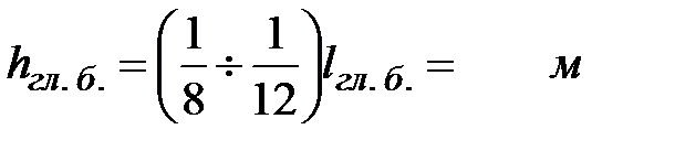
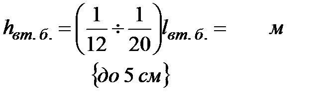
В связи с тем, что монолитные конструкции выполняются в унифицированной опалубке, размеры поперечного сечения балок должны быть кратны 5см.
Второстепенные балки укладываются перпендикулярно главным балкам; над колоннами – обязательно, в пролете – таким образом, чтобы шаг был одинаковым, а нагрузка на главную балку была симметрична. Шаг второстепенных балок должен находиться в диапазоне
.
Чтобы нагрузка была симметрична, одинаковые пролеты располагаем по бокам, а отличный от них – в середине.
Толщину плиты назначаем в зависимости от пролета. При назначении толщины плиты пользуемся интерполяцией. Этот размер кратен 1 см.
Определение объема бетона. При определении объема бетона для каждого варианта будем рассматривать все перекрытие в целом.

При определении расхода бетона округление только в большую сторону до 1 знака после запятой.
Сравниваем объем бетона по вариантам, далее проектируем более экономичный вариант.
Элементы монолитного ребристого перекрытия – плиту, второстепенную и главную балку – рассчитывают отдельно.






