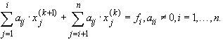
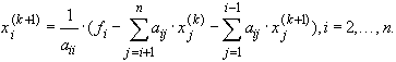
Весьма широко на практике применяется итерационный метод Зейделя:

Компоненты
находятся последовательно по формулам:

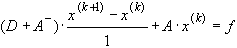
Запишем этот метод в матричной форме. Для этого представим матрицу A в виде суммы
,
где
,
- нижняя треугольная матрица,
,
- верхняя треугольная матрица.
В этих обозначениях метод Зейделя записывается следующим образом:
(28)
Применим теорему 2 для исследования сходимости метода Зейделя.
. В этом случае
,
,
если
. Следовательно, метод Зейделя сходится, если
.
Неравенство
следует из условия
.
Таким образом, метод Зейделя всегда сходится, если A - положительная матрица.






