Степенной метод позволяет найти наибольшее по модулю собственное значение и собственный вектор.
Пусть
- собственные числа матрицы A. Для определенности предположим, что

Берем произвольный ненулевой вектор
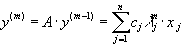
. Строим последовательность векторов
,
,..., 
Тогда
(38)
для любого номера i=1,2,...,n.
Точнее
(*)
Докажем это в предположении, что матрица A имеет n линейных независимых собственных векторов
. Запишем разложение вектора
по базису из собственных векторов
.
Тогда





Так как
для k=2,...,n и
для k=3,...,n, то отсюда следует, что при
выполняется соотношение (*)
Взяв достаточно большой номер итерации m, мы сможем с любой степенью точности определить по формуле (38) наибольший по модулю корень
характеристического уравнения для матрицы A. Для нахождения этого корня может быть использована любая координата
вектора
, в частности, можно взять среднее арифметическое соответствующих значений.
Так как
, то при 
.
Поскольку собственный вектор определяется с точностью до скалярного множителя, то сам вектор
приближенно представляет собой собственный вектор матрицы A, соответствующий собственному значению
.
|
|
|






