(45)
причем
для всех
.
Матрица этой системы является трехдиагональной и имеет следующий вид:

Это квадратная матрица размера
.
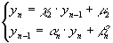
Предположим, что имеет место рекуррентное соотношение
(46)
с неопределенными коэффициентами
.
Из соотношений (46) и соотношений (45) находим:

Сравнивая получаемое отсюда выражение для
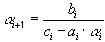
с формулами (46), получим рекуррентные формулы для прогоночных коэффициентов:
,
,
.
Начальные значения
получим, сравнивая
и (46) при
.
Для нахождения граничного значения
запишем систему уравнений:

Исключая из системы
, получим
.
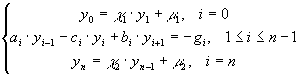
Итак, формально получен следующий алгоритм решения системы (45), который называется методом прогонки.
Сначала осуществляется прямая прогонка, т.е. находятся прогоночные коэффициенты
(47)
Затем осуществляется обратная прогонка по формулам
,
,
(48)
[../О комплексе|Теория|Практикум|Справочник по MathCAD'у|Об авторах]
[Home|Кафедра|ПетрГУ]






