Пусть на
задана сетка
, в узлах которой известны значения функции
. Сплайн третьей степени
, интерполирующий заданную функцию
, определяется как функция, удовлетворяющая условиям:
1) 
2) Для любого частичного промежутка
-многочлен третьей степени
3)

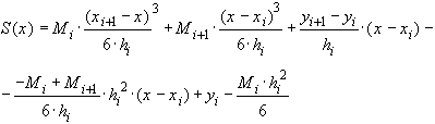
Для задания
надо определить 4 коэффициента для каждого промежутка
, т.е.
параметров.
Условия 1) требуют чтобы во внутренних узлах сплайн и его производные до 2-го порядка были непрерывны.

Это дает
условия для определения параметров, еще
условие содержится в 3).
Итого имеем
условия. Еще 2 условия, необходимые для однозначного определения сплайна, обычно задаются в виде граничных условий, т.е. условий в точках
и
.
Возьмем в качестве граничных условия
4) 
Для построения кубического интерполяционного сплайна могут быть использованы различные подходы. Проведем построение сплайна, исходя из условий 1) - 4). Из 1) и 2) следует, что??? непрерывная функция, линейная на каждом
т.е.??? - линейный сплайн.
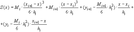
Обозначив
, получаем
(33)
для
.
Интегрируя (5), получаем
(34)
(35)
и
- постоянные интегрирования.
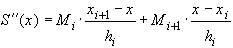
Условия 3) дают:
(36)
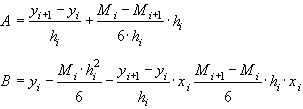
Из (36) получаем:

Подставляя
и
в (7), получаем:
(37)
После преобразования 
из (37) получаем
(38)
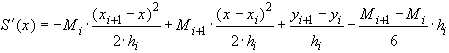
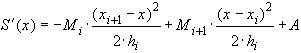
Из (34) получаем
(39)
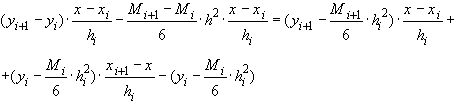
Из (39) находим односторонние пределы производной для узла
, 
(40)
(41)
Подставляя (40) и (41) в условие непрерывности
в узле
получаем:
(42)

Дополняя (42) равенствами из условия 4):
, получаем систему уравнений относительно
вида:
(43)
с квадратной матрицей
.
и квадратной матрицей 

Координатами вектора
являются значения
.
Для матрицы
ненулевые элементы расположены на главной диагонали и двух соседних с ней. Такие матрицы называются трехдиагональными. Для
выполнено условие диагонального преобладания
.
Матрица с диагональным преобладанием невырождена. Следовательно, система (42) однозначно разрешима, т.е. существует единственный кубический интерполяционный сплайн. Кроме условий 4) - условий "свободного провисания" интерполяционной кривой в точках
и
, могут быть известны наклоны интерполяционной кривой в граничных точках. Тогда условия на границах имеют вид:
(44)
Могут быть использованы и другие варианты.
Вид граничных условий меняет некоторые элементы матрицы
, но в любом случае она остается матрицей с диагональным преобладанием.
Решение системы (43) с трехдиагональной матрицей
может быть найдено посредством специального варианта метода последовательного исключения неизвестных, который называется методом прогонки.
Относительно оценки погрешности и сходимости интерполяций кубическими сплайнами имеют место следующие результаты:
если
, то
, где
,
,
если
,
, то оценка имеет вид для
.
Из этих оценок следует сходимость интерполяционного процесса на последовательности сеток
.






