Пусть существует
, непрерывная на
.
По формуле Тейлора:
.
Интегрируя, получаем:
(60)
Обозначим
.
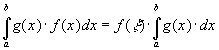
Используем вариант теоремы о среднем, который имеет вид:
если
непрерывна и
- интегрируема, то
, где
.
Пусть
. Имеем
.
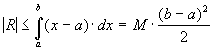
(61)
Пусть
. Имеем
и оценка для
будет того же вида (61).
Таким образом, (61) - оценка погрешности формул правых и левых прямоугольников.
Оценим погрешность для формулы средних прямоугольников.
Пусть существует
. По формуле Тейлора имеем:
.
Интегрируя, получаем

Так как,
, то
. Отсюда следует оценка
(62)
Для повышения точности квадратурных формул можно промежуток
разбить точками
,
,
на частичные промежутки, к каждому из которых применяется формула прямоугольников
,
,
(63)
Суммируя по
, получаем обобщенную формулу прямоугольников.
(64)
при
- формула левых прямоугольников,
при
- формула правых прямоугольников,
при
- формула средних прямоугольников.
Оценка остаточного члена для обобщенной формулы получается на основе оценок (61) или (62) соответственно.
При
,
:
(65)
При
: 
Из оценок (65) следует, что выбирая достаточно большое число точек разбиения (т.е. делая
достаточно малым) можно получить результат с необходимой точностью.






