Аппроксимируем подинтегральную функцию
интерполяционным многочленом 2-й степени, совпадающим с
в точках
.
(70)
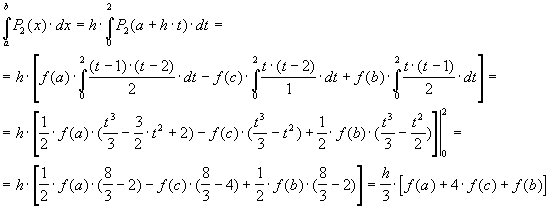
Заменяя Ошибка! Закладка не определена., где
и интегрируя (70), получаем

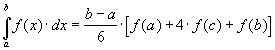
Таким образом, квадратурная формула имеет вид:
(71)
Она называется квадратурной формулой Симпсона или формулой парабол (т. к. дуга кривой
заменяется на дугу кривой второго порядка).






