Для получения выражения остаточного члена, которое позволяет установить оценку погрешности, используется тот же прием последовательного дифференцирования, а затем интегрирования, что применялся в предыдущем случае. Введем обозначение
. Последовательно получаем:
, 



Теперь интегрируем по
, учитывая что
,
и применяя каждый раз теорему о среднем:

Наконец
(72)
Отсюда, кстати, следует, что
для многочленов до 3 - й степени включительно. Из (72) получаем оценку погрешности формулы Симпсона:
, где
(73)
Разбивая промежуток
на
равных частей точками
,
и применяя формулу (71) к каждому из частичных промежутков
длины
,
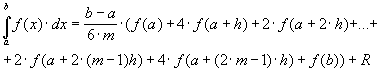
получаем обобщенную формулу Симпсона:

Оценка погрешности этой формулы следует из (72):
(74)






