Обозначим
. Тогда
,
.
Дифференцируя по
, получаем:
,
.

Теперь интегрируя по
, находим:

Используя теорему о среднем получаем:
, где
.
Еще раз интегрируя и применяя теорему о среднем, получаем

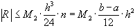
Отсюда следует оценка погрешности квадратурной формулы трапеций:
(67)
При разбиении отрезка
на
промежутков
(
) длины
, получаем обобщенную формулу трапеций:
(68)
Из (67) следует оценка погрешности обобщенной формулы
(69)






