Рассмотрим линейное дифференциальное уравнение второго порядка в самосопряженной форме
(28)
на интервале
с краевыми условиями первого рода:
(29)
Если
,
, то такая краевая задача описывает стационарное распределение тепла в стержне (- температура в точке
,
- коэффициент теплопроводности). Задача имеет единственное решение, если
- кусочно-непрерывные функции. Возможны также другие типы краевых условий:
(30)
При
эти условия называются краевыми условиями второго рода, при
- условиями третьего рода.
Введем на отрезке
равномерную сетку

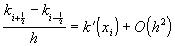
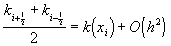
и запишем трехточечную разностную схему для краевой задачи (28)-(29) в прогоночном виде
,
,
(31)
где коэффициенты
зависят от значений функций
в узлах сетки, а также от шага
.
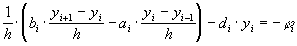
Перепишем разностную схему (31) в виде
,
,
(32)
где
. Схема называется однородной, если ее коэффициенты во всех узлах сетки для любого линейного дифференциального уравнения вычисляются по одним и тем же правилам. Для однородной схемы удобна система безиндексных обозначений:
(33)
Здесь
.
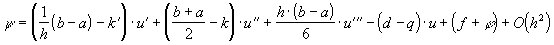
Найдем погрешность аппроксимации схемы (33):

Пользуясь теперь разложением

получаем:
, 
Тогда погрешность аппроксимации предстанет в виде:

Таким образом, схема (33) будет иметь второй порядок аппроксимации, если будут выполнены условия:
, 
, 
Например, эти условия выполняются при
(34)
где
. Действительно,
,
поэтому
,
.






