Для исследования сходимости рассмотрим погрешность разностной схемы в узлах сетки:

Пользуясь линейностью оператора (33) и введенными ранее безиндексными обозначениями, нетрудно установить, что погрешность в узлах сетки удовлетворяет разностной схеме
,
(35)
где
- погрешность аппроксимации.
Выведем оценку для погрешности в узлах сетки
. Из соотношений (34) следует, что
,
,
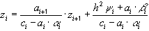
поэтому схема (35) в прогоночном виде (31) запишется следующим образом:
,
(36)
где
. Предположим, что в исходном линейном дифференциальном уравнении (28)
,
. Тогда, в частности, имеет место неравенство:
(37)
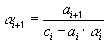
Значения
из схемы (36) можно найти, используя так называемый метод прогонки. Попробуем переписать схему в виде
,
(38)
с неизвестными коэффициентами
. Подставив в формулу (36) соотношение
, получим

или

Таким образом, схема (36) разрешима в виде (38), если
. В этом случае для
получаем рекуррентные формулы:
,
(39)
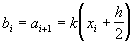
Для начального условия
уравнение (38) принимает вид
,
откуда получаем начальные условия для уравнений (39):
. Теперь можно вычислить все значения
,
,
, а затем спуститься "вниз" по
от
до 1 и найти все значения
по формуле (38).
Заметим, что если
, то

и тогда из неравенства (37) и формул (39) следует, что
и
.
Поскольку известно, что
, то по индукции мы получаем, во-первых, разрешимость схемы (36) в виде (38), и во-вторых, справедливость неравенства
.
Следовательно, из формулы (38) можно вывести неравенство:
.
Учитывая, что
, получаем соотношение:
. Воспользуемся теперь рекуррентной формулой (39) для
, умножив ее на положительную величину
:
.
Тогда
, следовательно,
,
учитывая, что
. Наконец, поскольку
, можно сделать вывод, что
.
Таким образом, для погрешности в узлах сетки
можно записать неравенство
,
потому что
. Переходя к нормам, получаем
,
то есть разностная схема (33) для краевой задачи (28)-(29) при условиях на коэффициенты (34) имеет второй порядок сходимости.






