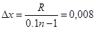
xmin = 0,933
xmax = 1,005
R=xmax-xmin = 0,072

1) от хmin – 0,5·∆x до xmax+0,5·∆x (m1=2)
0,933-0,5·0,008=0,929 до 1,005+0,5·0,008=1,009
x* = 0,933
2) от хmin + 0,5·∆x до xmax+0,5·∆x (m2=5)
0,933+0,004=0,937 до 1,006
x* = xmin+∆x =0,933+0,008=0,941
3) от 0,933+1,5·0,008=0,945 до 1,006 (m3=7)
x* = xmin+2∆x =0,933+0,016=0,949
4) от 0,933+2,5·0,008=0,953 до 1,006 (m4=16)
x* = xmin+3∆x =0,957
5) от 0,933+3,5·0,008=0,961 до 1,006 (m5=15)
x* = xmin+4∆x =0,965
6) от 0,933+4,5·0,008=0,969 до 1,006 (m6=19)
x* = xmin+5∆x =0,973
7) от 0,933+5,5·0,008=0,977 до 1,006 (m7=28)
x* = xmin+6∆x =0,981
8) от 0,985 до 1,006 (m8=5)
x* = 0,989
9) от 0,933 до 1,006 (m9=2)
x* = 0,997
10) от 1,001 до 1,009 (m10=1)
x* =1,005


Построение полигона распределения.

Построение гистограммы распределения.

Графическое сравнение полигона и гистограммы распределения позволяет предположить, что закон распределения соответствует нормальному закону распределения. Проверка гипотезы о законе распределения.





Выводы: Несоответствие распределения рассеивания параметров резисторов нормальному закону распределения можно объяснить неоднородностью исследуемой выборки, в которой оказались образцы из разных партий.
|
|
|
Лабораторная работа №2
Определение производственной точности выходных параметров модульного усилителя расчетно-аналитическим методом






